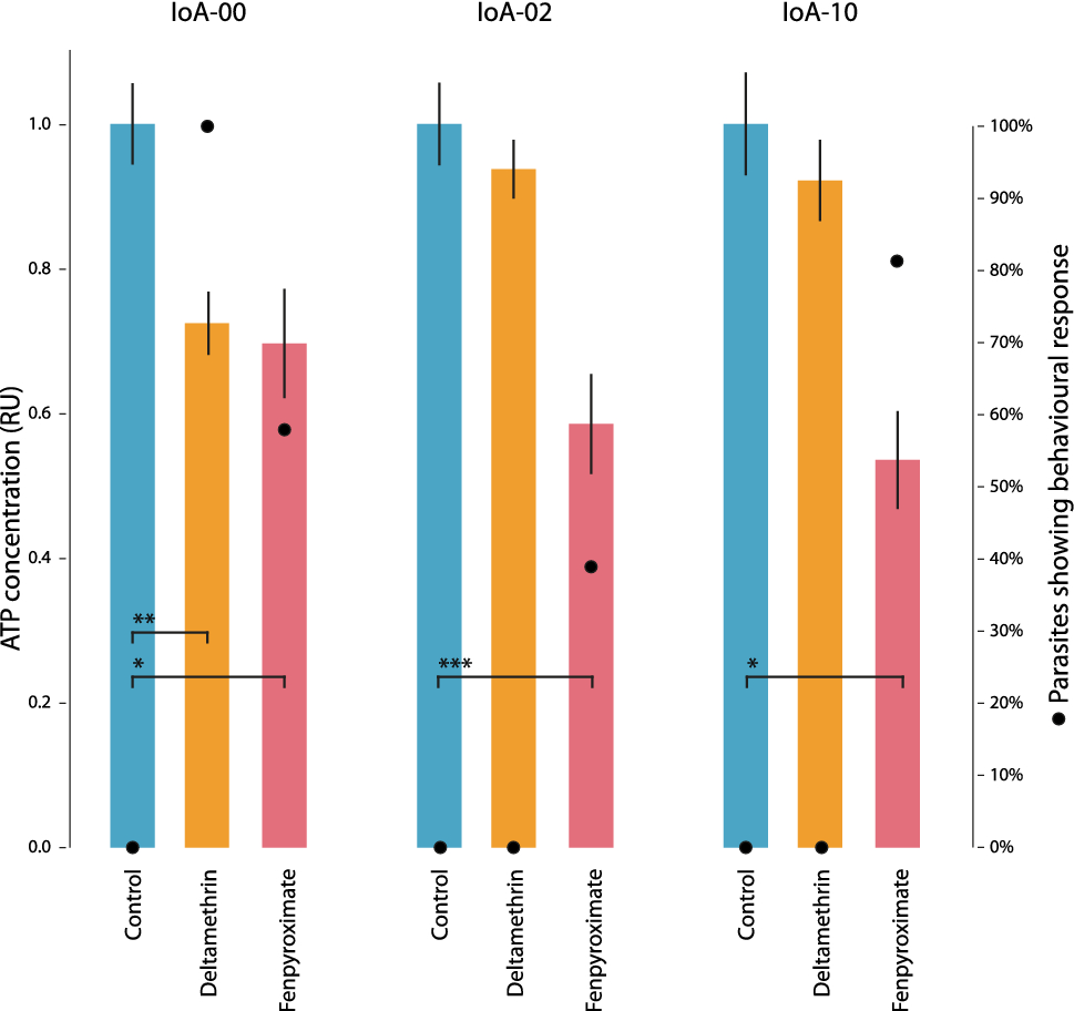
Figure 3

Effect of deltamethrin and fenpyroximate on ATP levels in L. salmonis. Male adult salmon lice of the drug susceptible strain IoA-00, the multi-resistant strain IoA-02, and strain IoA-10 were exposed to deltamethrin (2 µg/L), fenpyroximate (100 µg/L), or a solvent acetone control (0.05% v/v, control) for 300 min before behavioural effects were recorded (secondary y-axis; orange data points) and alive animals were sampled for whole-body ATP analysis (N = 15 per group). ATP concentrations in drug treated lice are expressed relative to those of the control group (relative units, RU ± SE). Stars indicate significant differences to the control group (Kruskal–Wallis test followed by post hoc comparisons using Dunn’s test; * P < 0.05, ** P < 0.01, *** P < 0.001).