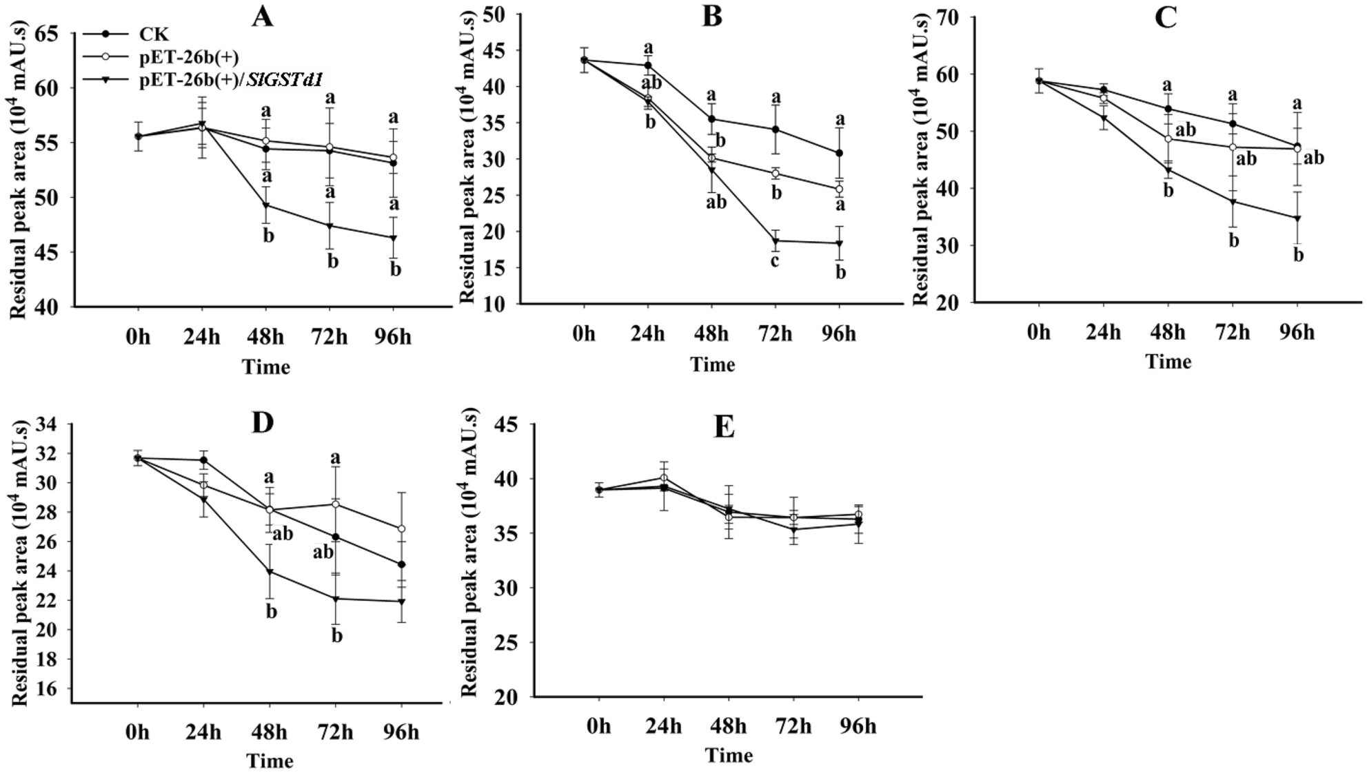
Figure 3

The residual peak area of fenvalerate (A), cyhalothrin (B), theta-cypermethrin (C), alpha-cypermethrin (D) and chlorpyrifos (E) metabolized by SlGSTD1 in E. coli. CK indicates the reaction added with LB liquid medium. pET-26b(+) indicates the reaction added with E. coli of empty vector pET-26b( +). pET-26b(+)/SlGSTd1 indicates the reaction added with E. coli of recombinant vector pET-26b(+)/SlGSTd1.