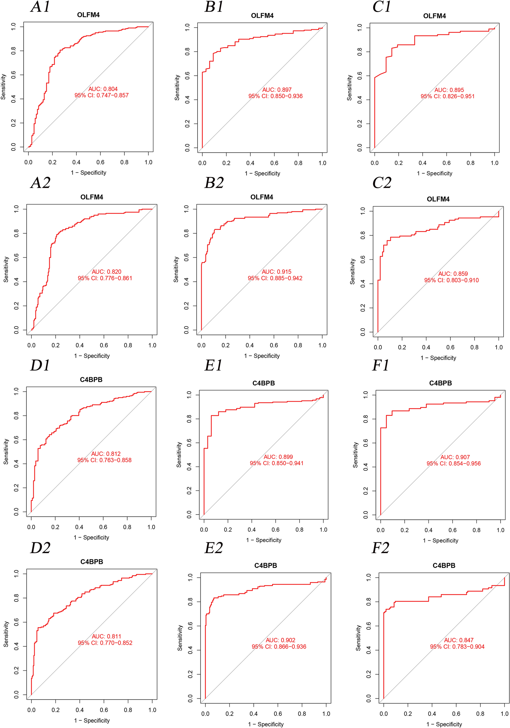
Figure 6

The ROC curve of OLFM4 and C4BPB between two groups. (A1. The ROC curve of OLFM4 in training group; A2. The ROC curve of OLFM4 in SMOTE-training group; B1. The ROC curve of OLFM4 in the testing group; B2. The ROC curve of OLFM4 in SMOTE-testing group; C1. The ROC curve of OLFM4 in GSE87473 group; C2. The ROC curve of OLFM4 in SMOTE-GSE87473 group; D1. The ROC curve of C4BPB in training group; D2. The ROC curve of C4BPB in SMOTE-training group; E1. The ROC curve of C4BPB in the testing group; E2. The ROC curve of C4BPB in the SMOTE-testing group; F1. The ROC curve of C4BPB in the GSE87473 group; F2. The ROC curve of C4BPB in the SMOTE-GSE87473 group).