Figure 2
From: Scale-free behavioral cascades and effective leadership in schooling fish

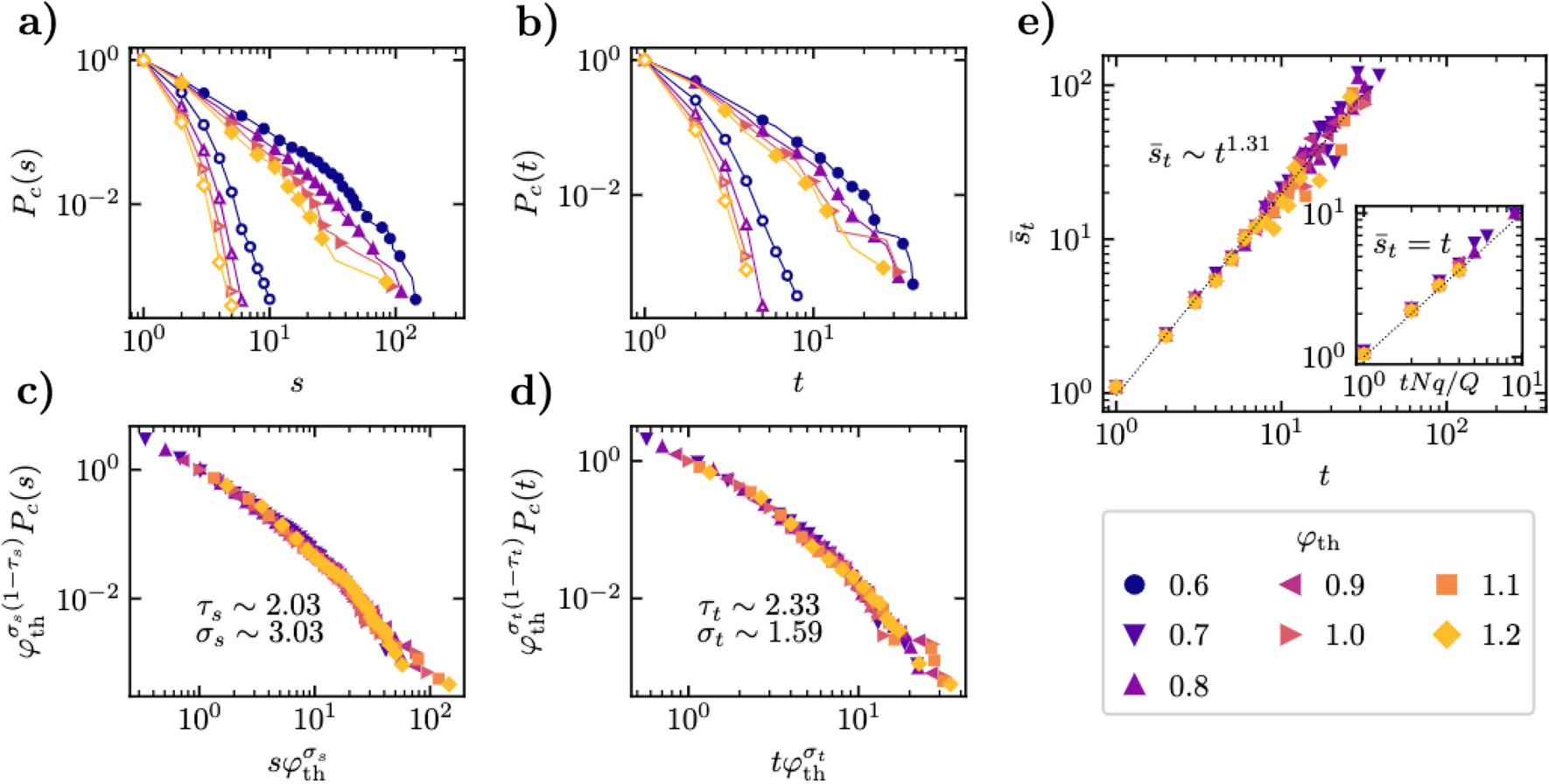
(a) Cumulative probability distribution of the avalanche sizes \(P_c(s)\) for different values of the turning threshold \(\varphi _\mathrm {th}\). (b) Cumulative probability distribution of the avalanche durations \(P_c(t)\) for different values of the turning threshold \(\varphi _\mathrm {th}\). In (a) and (b), filled symbols represent the actual empirical distributions, while hollow symbols correspond to distributions obtained by randomizing the turning angles in the trajectory of each fish. (c) Check of the scaling of the cumulative size distribution with the turning threshold, as given by Eq. (5). (d) Check of the scaling of the cumulated time distribution with the turning threshold, as given by Eq. (5). (e) Average size \(\bar{s}_t\) of avalanches of fixed duration t as a function of t. The main plot shows the empirical data. The inset presents the results from a randomization of the turning angles in each fish trajectory. In this case, we plot the average duration as a function of the theoretical prediction Nqt/Q, see Eq. (13).