Figure 5
From: Scale-free behavioral cascades and effective leadership in schooling fish

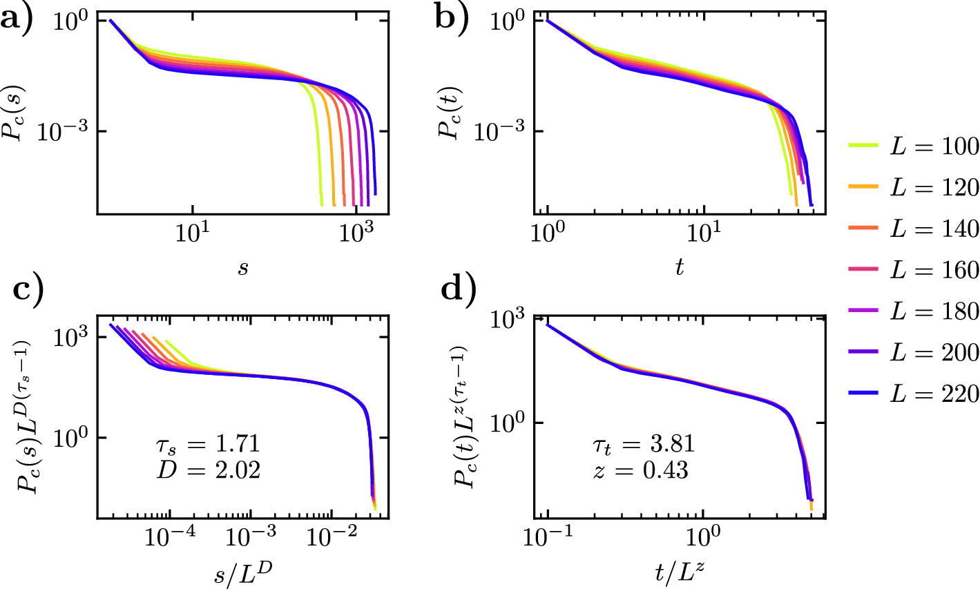
(a) Cumulative probability distribution of size \(P_c(s)\) of avalanches induced by a perturbed leader in a system with \(\eta =0.2\), turning threshold \(\varphi _\mathrm {th}(\eta )\) and different values of L. (b) Cumulative probability distribution of durations \(P_c(t)\) of avalanches induced by a perturbed leader. (c) Check of the scaling of the cumulated size distribution as given by Eq. (5). (d) Check of the scaling of the cumulated time distribution as given by Eq. (5). Statistics are performed over at least \(10^5\) different avalanches.