Figure 1
From: Design of a multi-epitope vaccine candidate against Brucella melitensis

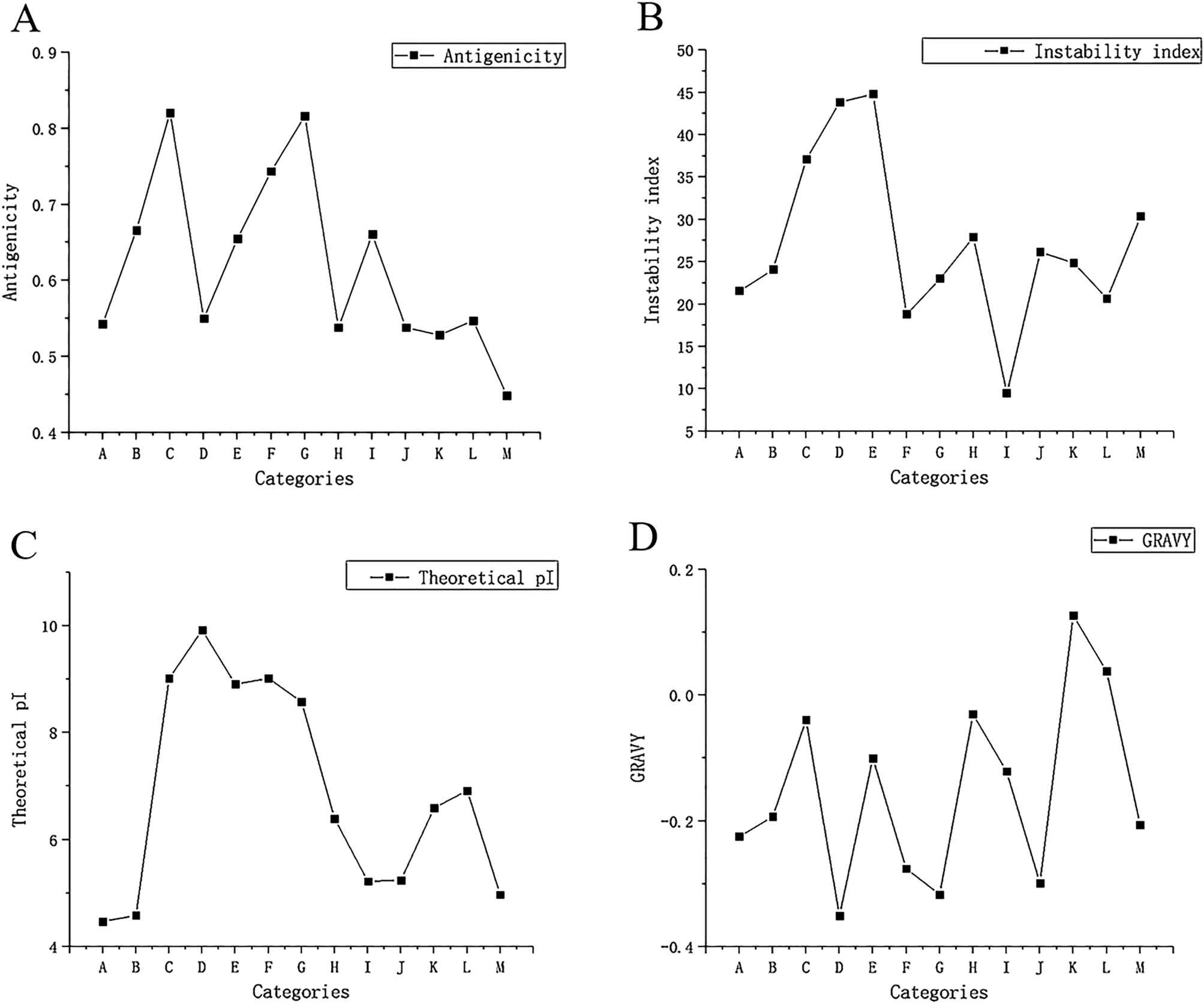
(A) Antigenicity prediction of 13 proteins. (B) Instability index prediction of 13 proteins. (C) Theoretical pi prediction of 13 proteins. (D) GRAVY prediction of 13 proteins. As illustrated in the figure, “A” stands for Omp2a, “B” stands for Omp2b, “C” stands for Omp10, “D” stands for Omp16, “E” stands for Omp19, “F” stands for Omp22, “G” stands for Omp25, “H” stands for Omp28, “I” stands for Omp31, “J” stands for BtpB, “K” stands for BLS, “L” stands for BCSP31, and “M” stands for P39.