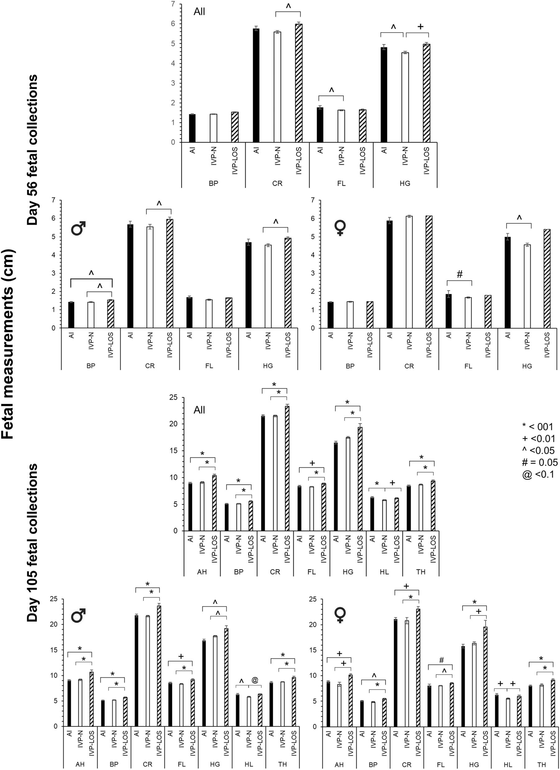
Figure 3

Fetal measurements at collection. Top three panels—D56 fetal measurements at collection (n = 6 females and 8 males in the AI group and 22 females [1 LOS] and 21 males [8 LOS] in the IVP group). Bottom three panels—D105 fetal measurements at collection (n = 4 females and 8 males in the AI group and 13 [9 LOS] females and 33 males [8 LOS] in the IVP group). For each day set, the top graph includes both sexes and the bottom two graphs are separated by sex, males on the left and females on the right. BP biparietal diameter, CR crown-rump length, FL forelimb length, HG hearth girth, AH abdominal height, HL head length, TH thoracic height. Data are represented as average ± SEM. Lines going over three bars are used to represent statistical differences between the first and the third bar.