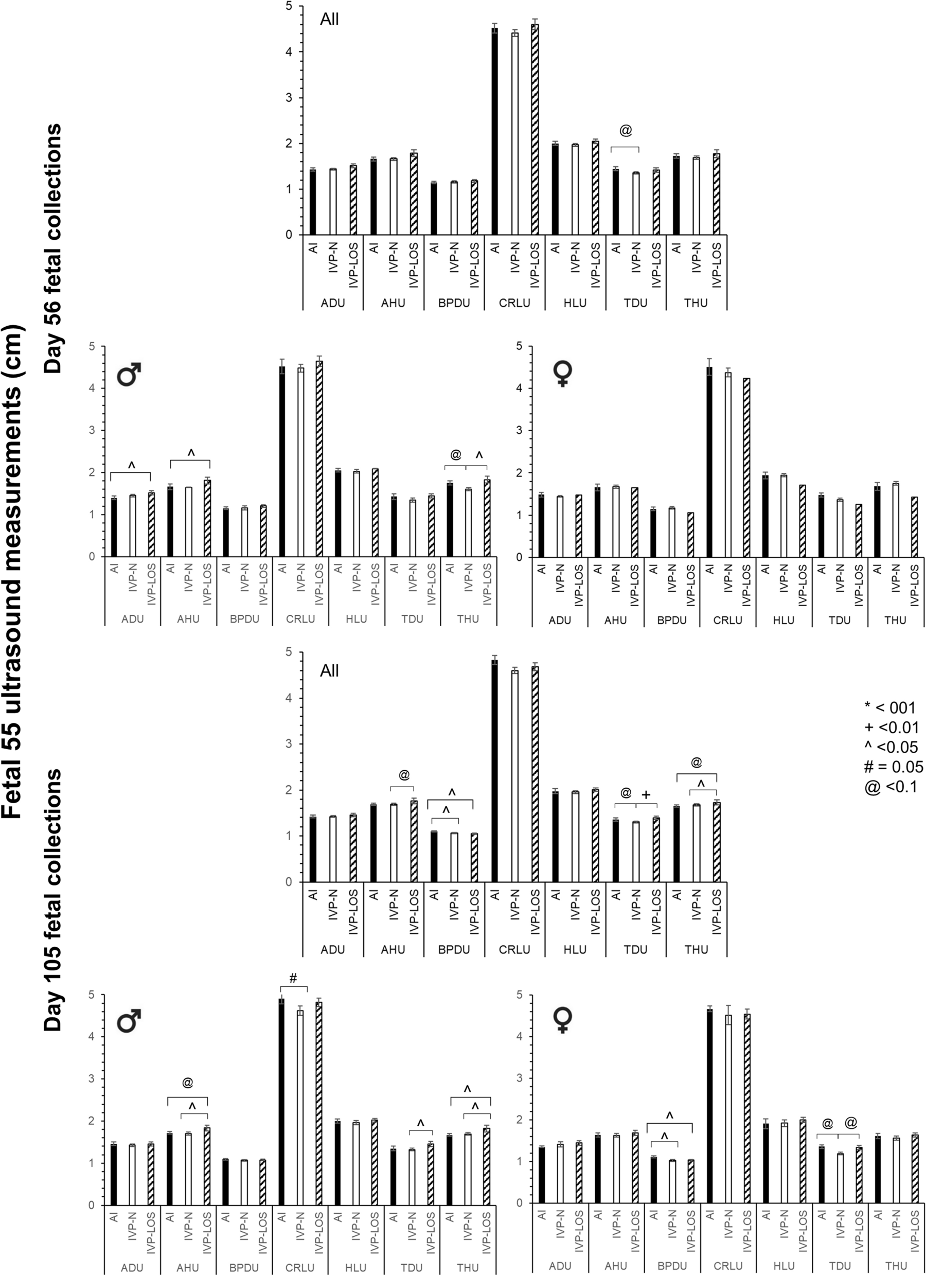
Figure 5

D55 fetal ultrasound measurements of fetuses collected on D55 and D105. Top three panels—D55 ultrasonographic measurements of fetuses collected on D56. n = 6 females and 8 males in the AI group and 22 females [1 LOS] and 21 males [8 LOS] in the IVP group. Bottom three panels—D55 ultrasonographic measurements of fetuses collected on D105. For each day set, the top graph includes both sexes and the bottom two graphs are separated by sex, males on the left and females on the right. n = 4 females and 8 males in the AI group and 13 [9 LOS] females and 33 males [8 LOS] in the IVP group. U ultrasound, AH abdominal height, AD abdominal diameter, BPD biparietal diameter, CRL crown rump length, HL head length, TD thoracic diameter, TH thoracic height. Data are represented as average ± SEM. For D56, there was only one female considered LOS, hence the lack of error bars. Lines going over three bars are used to represent statistical differences between the first and the third bar.