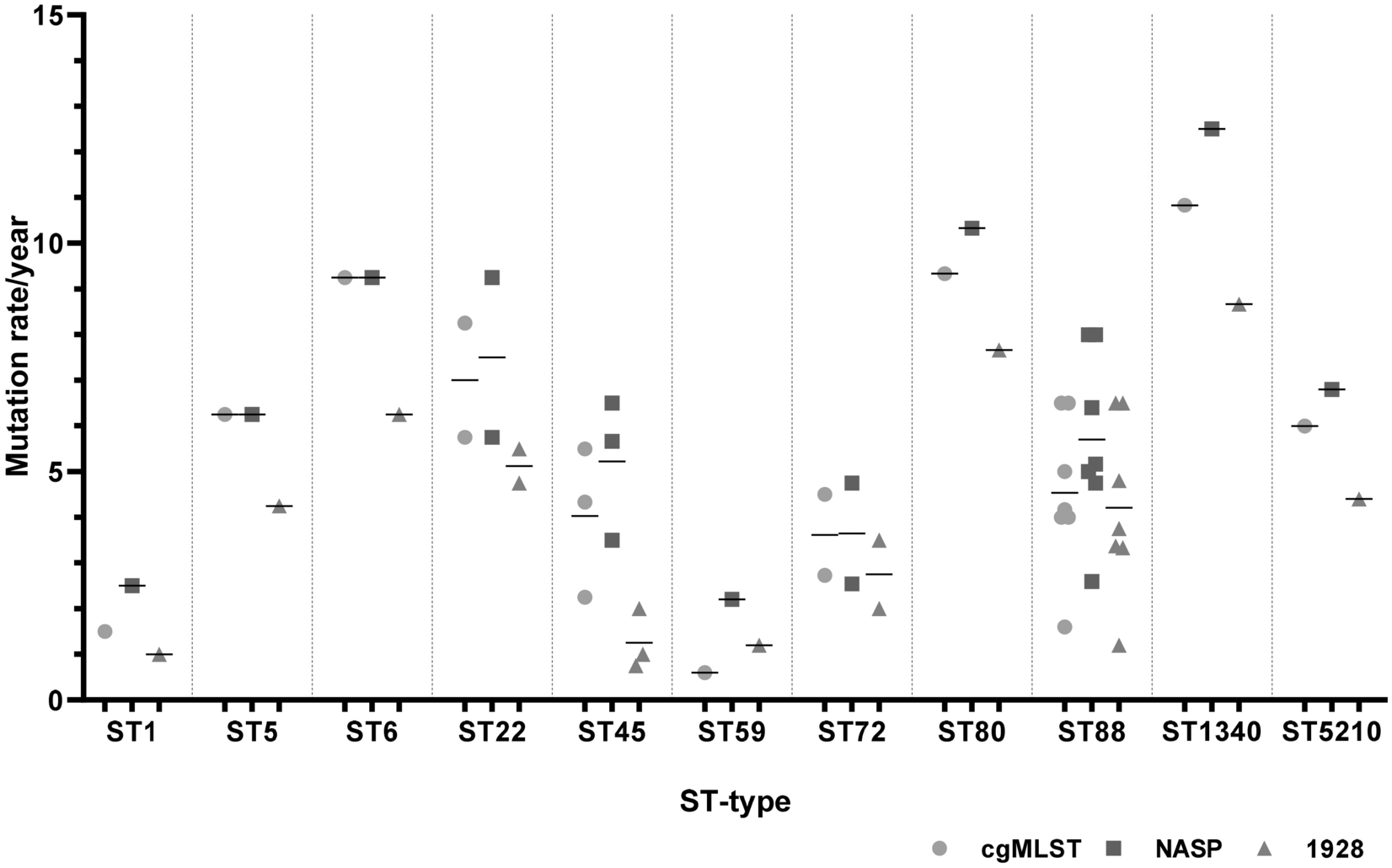
Figure 2

The mean for the genomic variation rate per year for all the ST found among the 20 MRSA-carriers are shown in the dot plot analysis. The cgMLST analysis (circle) was performed with SeqSphere+. Two different SNP-analysis were performed, the NASP-pipeline (square) and the cloud based software 1928 (triangle). The plot is based according to the results obtained using the COL reference. The three analysis have been grouped after each ST to facilitate visual comparison of the mean between them. The 1928 analysis show deviating/lower results compared to the results obtained with the cgMLST- and NASP-analysis where the results are similar. ST88, which is the ST with most samples, shows that the cgMLST and 1928 analysis are more comparable with each other than with NASP. A larger collection could give different results to the one observed in this study.