Figure 1

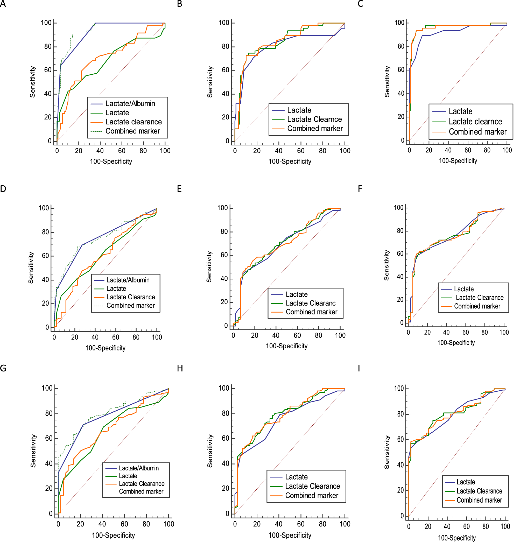
Comparison of ROC curves of single markers with combine marker to predict mortality (A–C), MV duration (D–F), and duration of using vasopressors at 6 h, 12 h and 24 h, respectively.

Comparison of ROC curves of single markers with combine marker to predict mortality (A–C), MV duration (D–F), and duration of using vasopressors at 6 h, 12 h and 24 h, respectively.