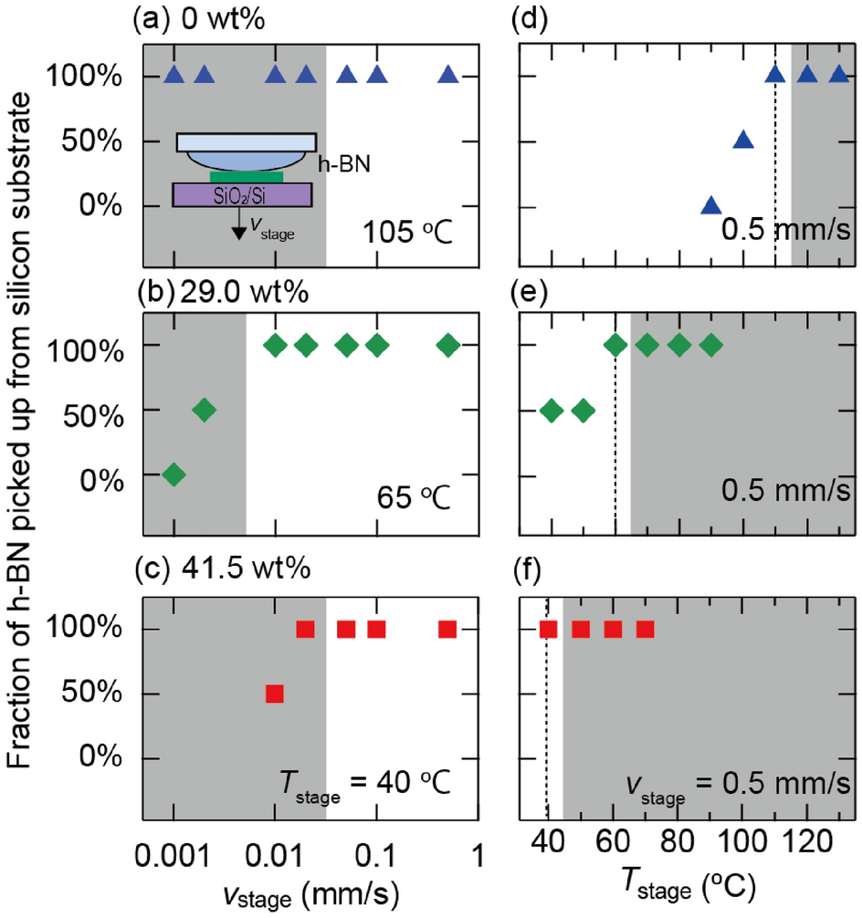
Figure 2

(a–c) Fraction of h-BN flakes picked up by Elvacite2552C-IL compounds from a silicon substrate with different speeds \(\left({v}_{\text{stage}}\right)\) to detach the silicon substrate from the compounds for IL contents (a) \(0\), (b) \(29.0\), and (c) \(41.5\) wt% at stage temperatures (a) \({T}_{\text{stage}}=105\), (b) \(65\), and (c) \(40^\circ{\rm C}\). (d–f) Fraction of h-BN flakes transferred from the silicon substrate to Elvacite2552C-IL compounds for varying stage temperatures \(\left({T}_{\text{stage}}\right)\) at \({v}_{\text{stage}}=0.5 \text{mm}/\text{s}\). The gray shaded regions indicate the ranges of \({{v}_{\text{stage}} \text{and }T}_{\text{stage}}\), where the Elvacite2552C-IL compounds are substantially deformed while picking up the h-BN flakes and do not retain their original dome shape [“Supplementary Information”].