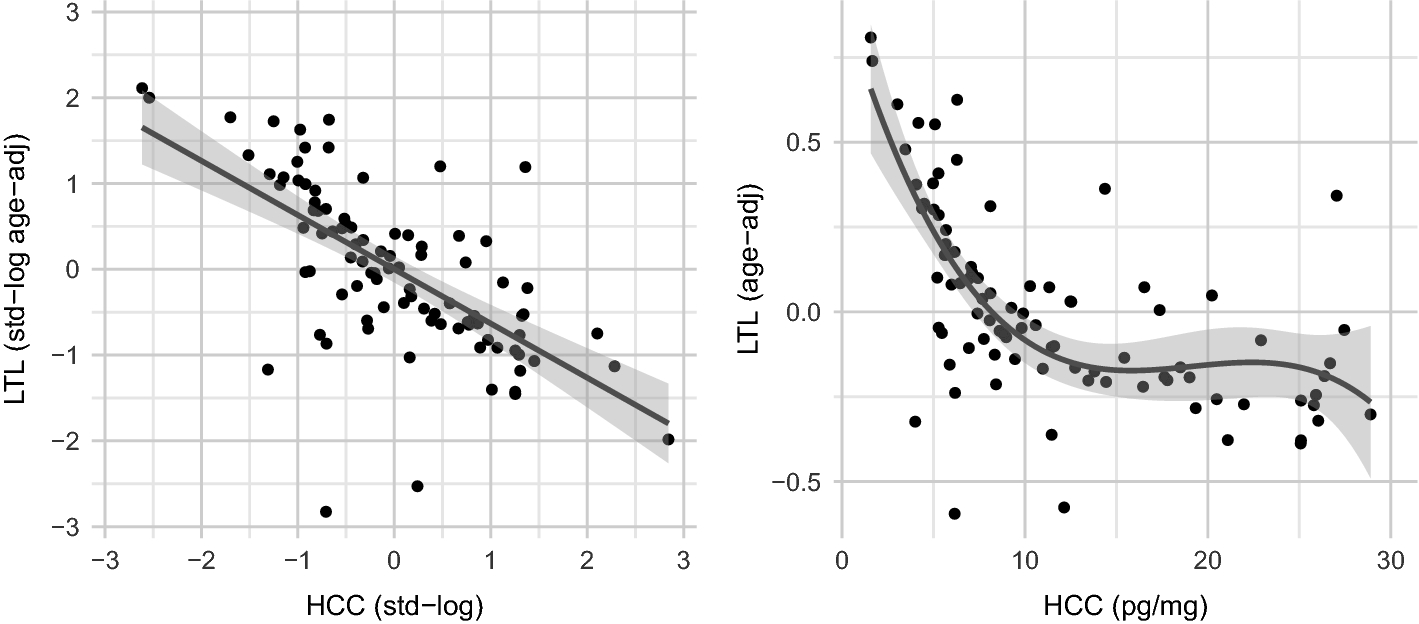
Figure 1

Associations of Hair Cortisol Concentrations (HCCs) and age-adjusted leukocyte telomere length (LTL) in a high-risk sample of young adults: (Left) Scatterplot of log-transformed and standardized age-adjusted LTL and log-transformed and standardized HCC, the regression line corresponds to a linear model displaying the association between HCC and LTL; (Right) Scatterplot of age-adjusted LTL and HCC, the regression line corresponds to a polynomial linear model of third order displaying the association between skewed HCC and LTL.