Figure 5
From: A general skull stripping of multiparametric brain MRIs using 3D convolutional neural network

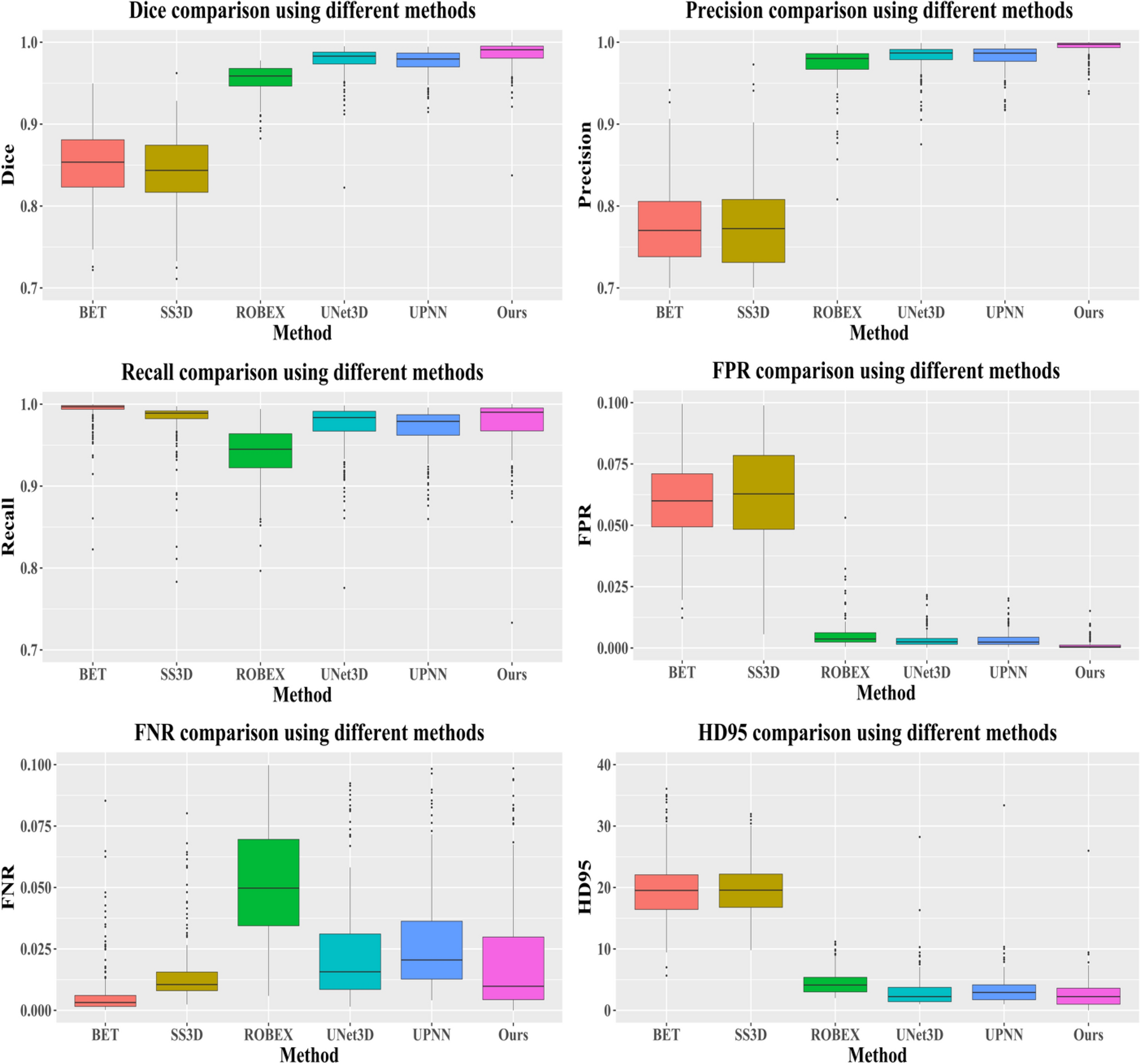
Box plot of performance comparison to state-of-the-arts on dice (top left), precision (top right), recall (middle left), FPR (middle right), FNR (bottom left), and HD95 (bottom right), respectively.