Figure 4
From: Effects of modified atmosphere packaging on the postharvest quality of mulberry leaf vegetable

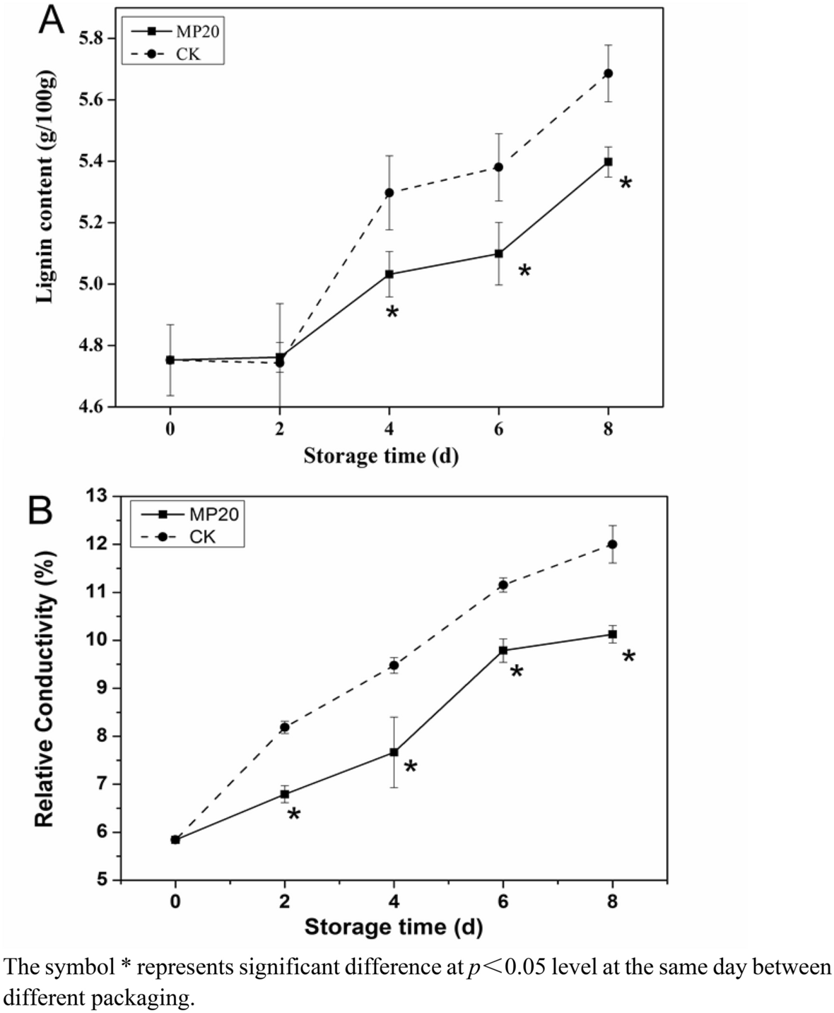
Effect of packaging on lignin content (A) and relative conductivity (B) of mulberry leaf vegetable during storage. Error bars indicate standard deviation. Asterisks indicate significant differences at the same storage time (p < 0.05).