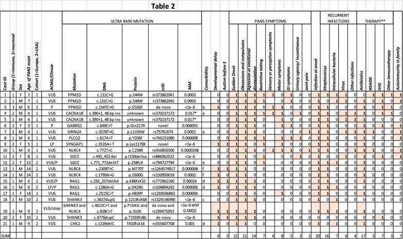
Table 2 Summary of cases.

From: Identification of ultra-rare genetic variants in pediatric acute onset neuropsychiatric syndrome (PANS) by exome and whole genome sequencing

  1. Patient demographics, genetic variants, and brief clinical description.
  2. ACMG American College of Medical Genetics, VUS variant of unknown or uncertain significance, LP likely pathological, P pathological, MAF minor allele frequency, OCD obsessive compulsive disorder, GI gastrointestinal.
  3. **Denotes treatment with clinical response for PANS symptoms. Comorbidities: a: psoriasis and hematological malignancy, b: Jansen de Vries Syndrome, c: Phelan-McDermid syndrome, d: Mannose-binding lectin deficiency, e: dyslexia, f: atrial septal defect, marfanoid body habitus. Infections include Streptococcus (Streptococcus pneumoniae, and group A, beta-hemolytic streptococcus), intracellular bacteria (Mycoplasma, Borrelia), and viruses (Herpes, Influenza).