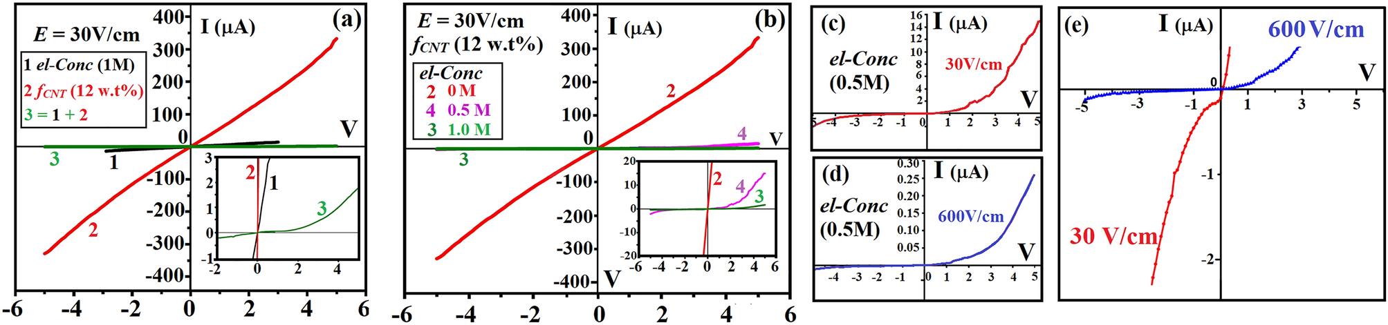
Figure 5

The I–V profiles of samples 1, 2 and 3 at ± 6 V and highlighted profile at ± 4 V (a). The I–V profiles of samples 2, 3 and 4 at ± 6 V and highlighted profile at ± 4 V (b). Highlighted I–V profiles of sample 4 made at E = 30 V/cm (c) and 600 V/cm (d). Highlighted I–V profiles of (c) and (d) at ± 5 V and I = ± 2 μA (e).