Figure 6

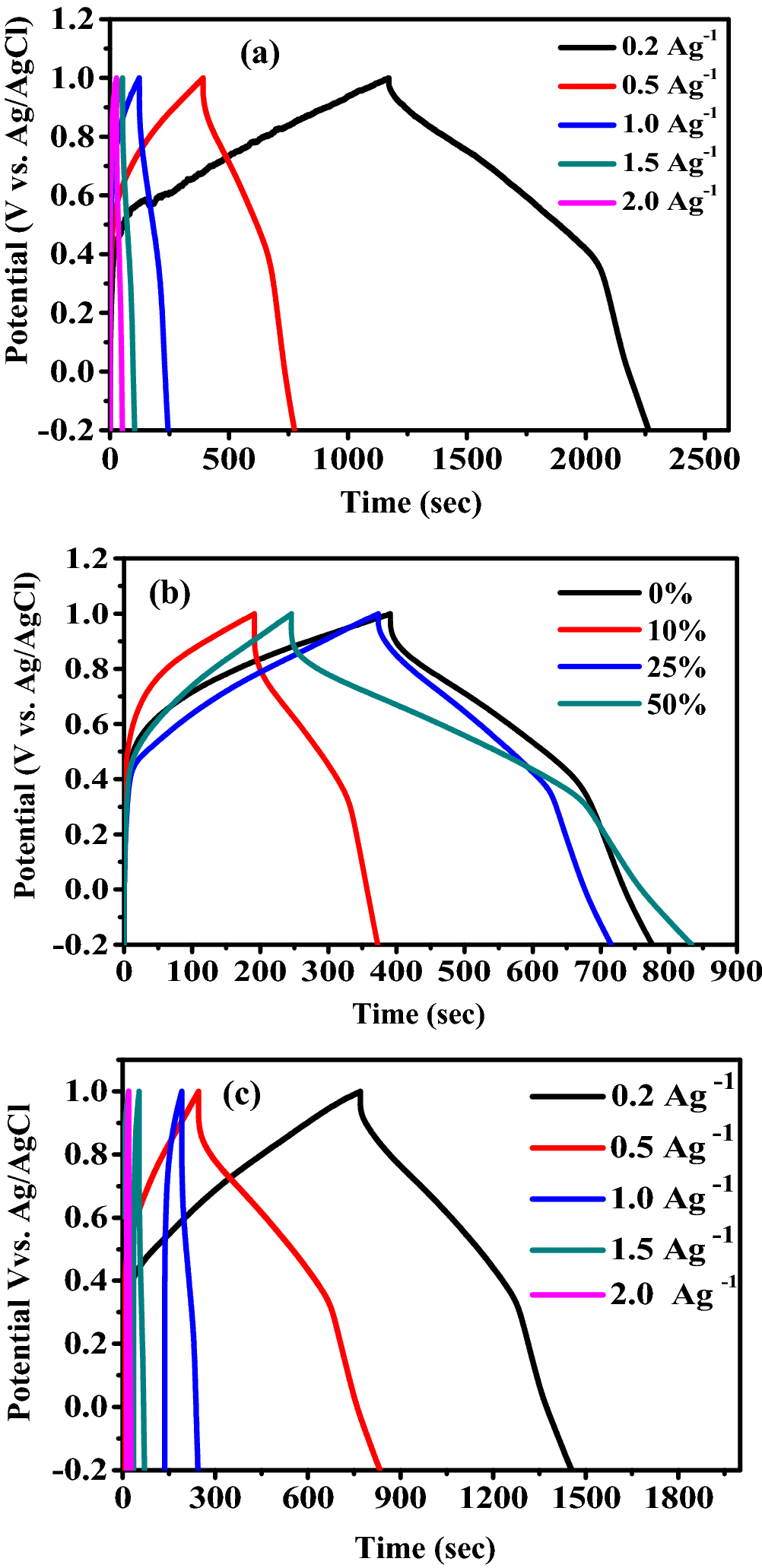
(a) GCD curves of P3HT at different current densities, (b) GCD curves of P3HT/SWCNTs electrodes with different SWCNTs ratios at 0.5 Ag−1 and (c) GCD curves of P3HT/50% SWCNTs at different current densities.

(a) GCD curves of P3HT at different current densities, (b) GCD curves of P3HT/SWCNTs electrodes with different SWCNTs ratios at 0.5 Ag−1 and (c) GCD curves of P3HT/50% SWCNTs at different current densities.