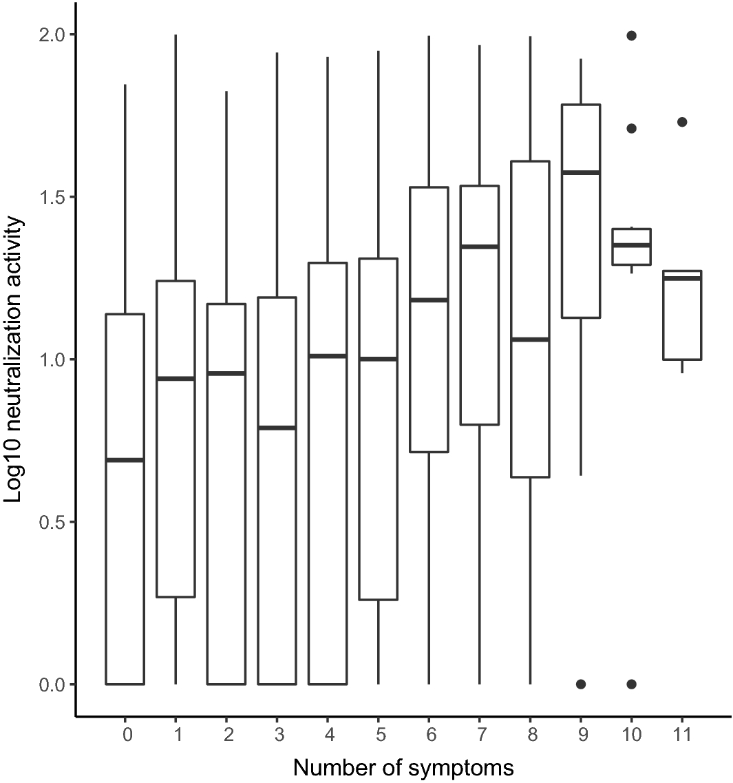
Figure 1

Percent inhibition of Spike-ACE2 binding in association with number of reported symptoms in seropositive individuals. Boxplot indicating mean, interquartile range, and outlier measurements of log10-corrected surrogate neutralization levels for seropositive participants who reported 0–11 symptoms of COVID-19 infection21. N = 790.