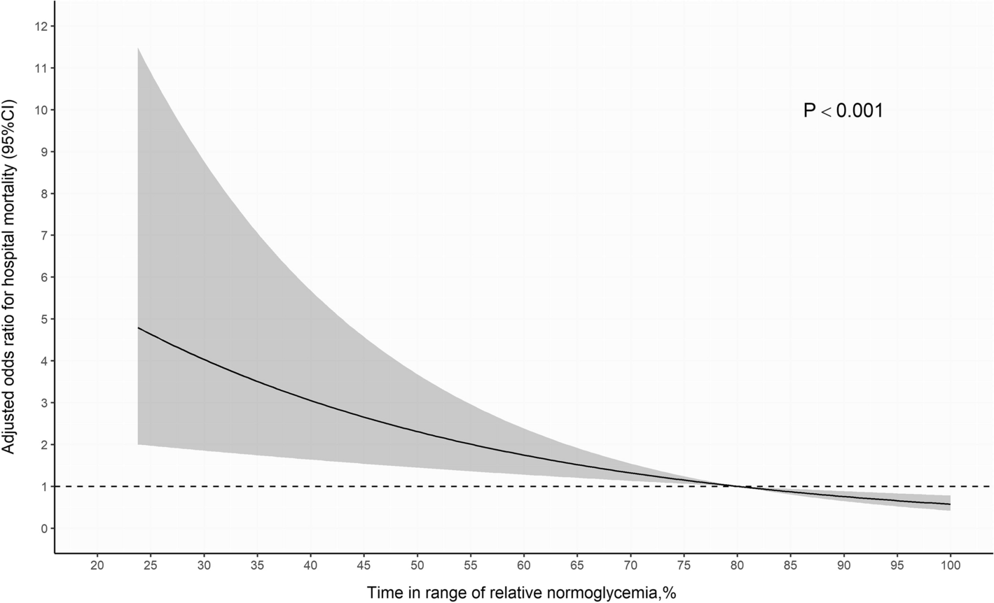
Figure 1

Adjusted odds ratio of the time in range of relative normoglycemia for in-hospital mortality according to the logistic regression model. CI confidence interval.

Adjusted odds ratio of the time in range of relative normoglycemia for in-hospital mortality according to the logistic regression model. CI confidence interval.