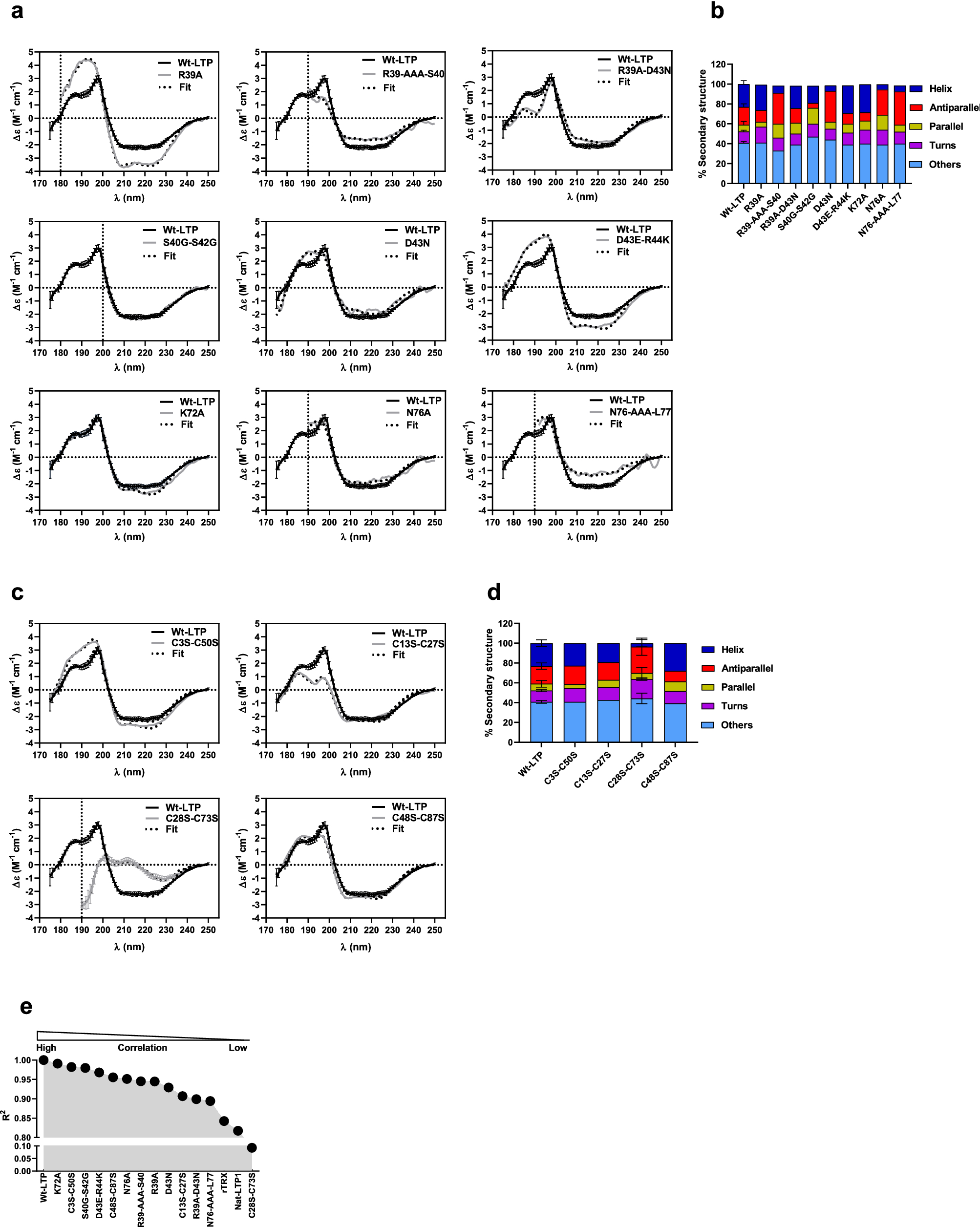
Figure 5

SRCD of LTP1s. SRCD spectra and secondary structure content estimation of wild-type and LTP1 variant proteins. The fit corresponds to the theoretical curve used for secondary structure calculation. (a) Spectra for variants affecting sequence conservation or protein flexibility. (b) Corresponding bar plot indicating secondary structure content. (c) Spectra for variants affecting disulfide bonds. (d) Corresponding bar plot indicating secondary structure content. (e) Pearson correlation between the Wt-LTP CD signal and those of the different LTP1 variants. The variants are classified according to the square of the correlation coefficient (R2) from highest to lowest. LTP: lipid transfer protein. SRCD: synchrotron radiation circular dichroism. Wt-LTP: recombinant wild-type wheat LTP1.