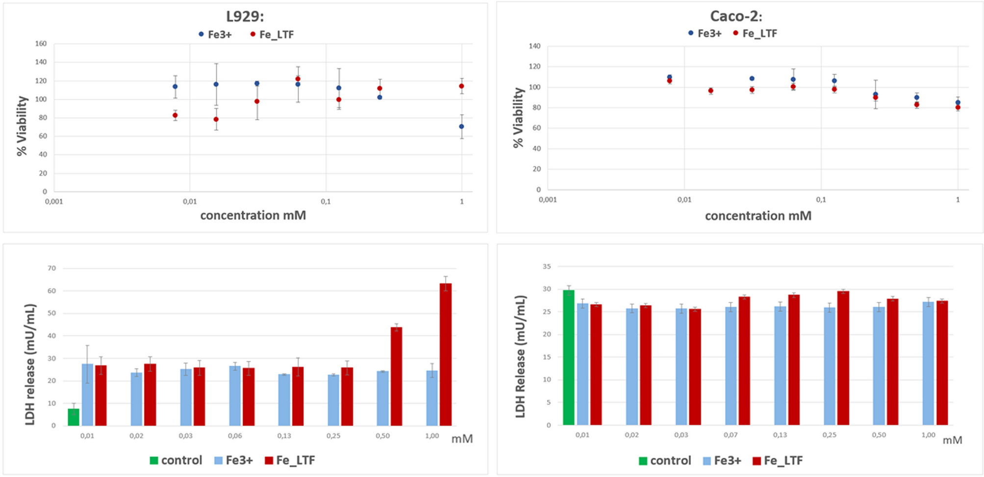
Figure 6

Cytotoxic effect of iron citrate and complex of Fe-bLTF in L929 and Caco-2 cells detected with the MTT reduction assay (values are expressed as a percentage of cell viability) and LDH release assay (values are expressed in mU/mL).

Cytotoxic effect of iron citrate and complex of Fe-bLTF in L929 and Caco-2 cells detected with the MTT reduction assay (values are expressed as a percentage of cell viability) and LDH release assay (values are expressed in mU/mL).