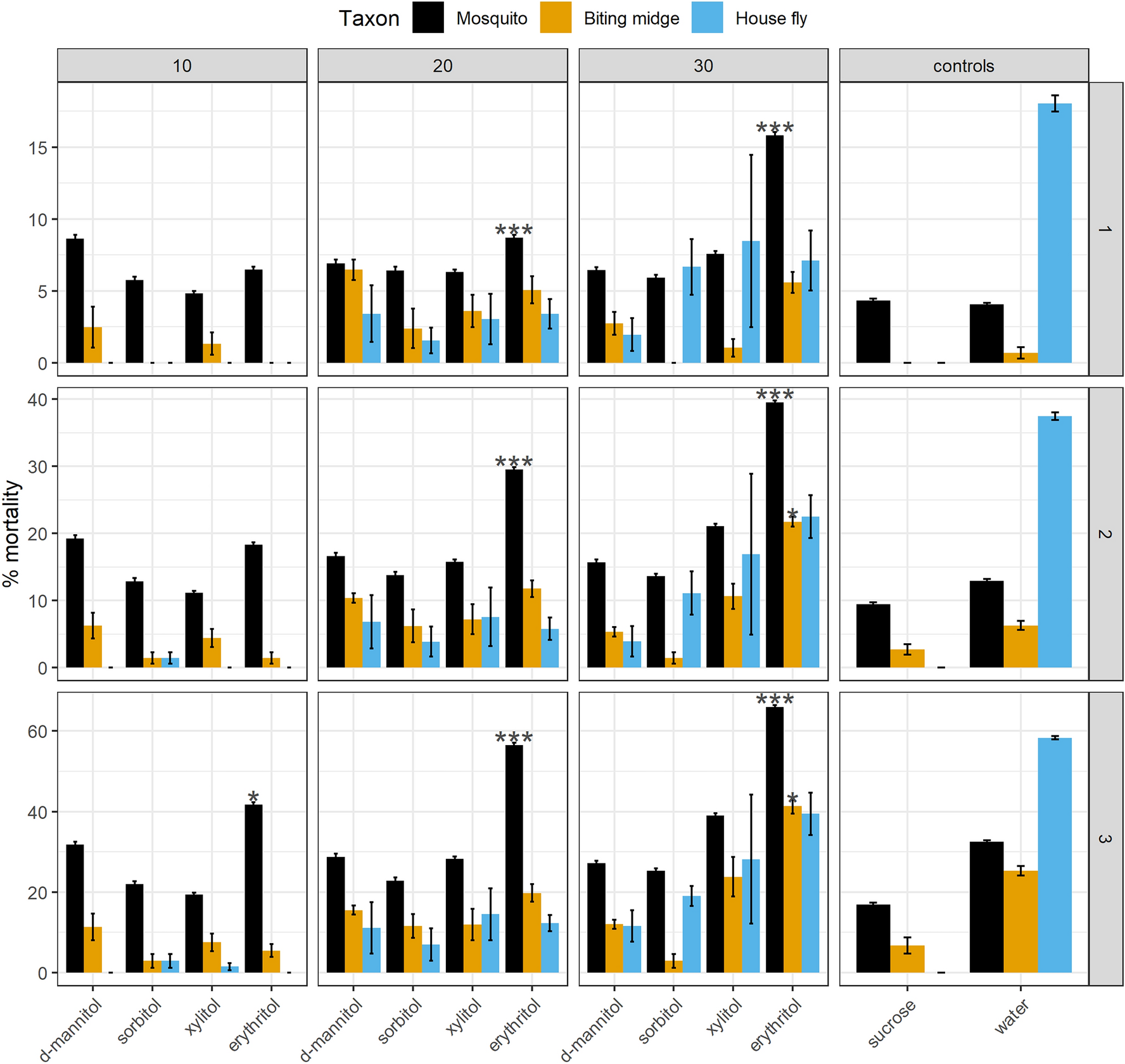
Figure 1

Cumulative percent mortality. Barplots show average mortality with associated standard error bars. Concentrations (10%, 20%, and 30%) are in columns and days 1 through 3 are in rows (not all experiments continued through day 4). Controls, i.e.10% sucrose and distilled water are shown in the right panel. Diptera included the following species (sample size indicated in parenthesis): Mosquitoes (Mosq) Ae. aegypti (n = 727), Ae. dorsalis (n = 3283), Cx. quinquefasciatus (n = 1868), and Cx. tarsalis (n = 2495); biting midges (CU) Cu. sonorensis (n = 836); house or filth flies(MU) Mu. domestica (n = 820). Asterisks indicated statistical significance for those treatment groups where mortality exceeded those of water only control (starvation) at *P < 0.05, **P < 0.01, ***P < 0.001.