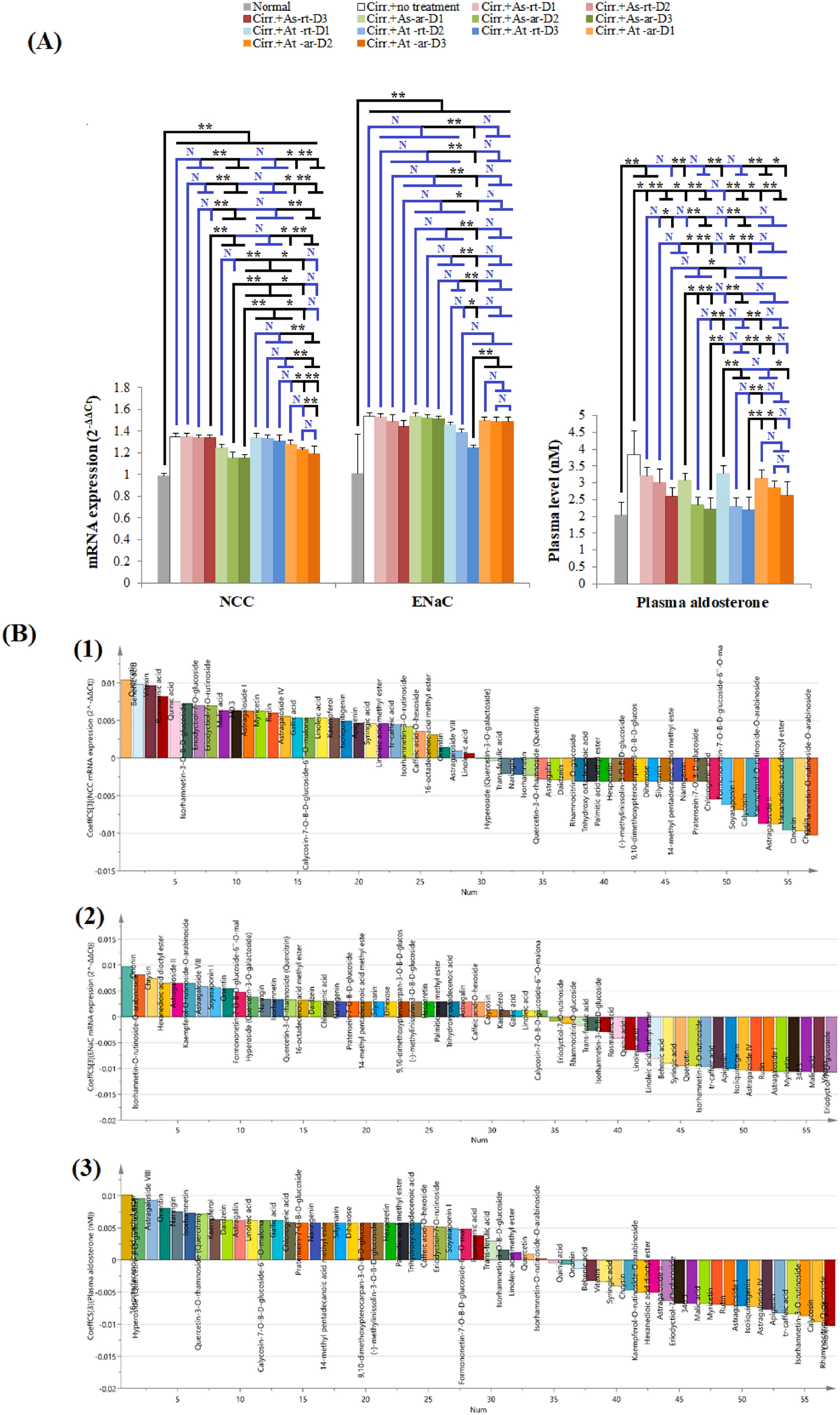
Figure 7

The effect of different Astragalus extracts on mRNA expression of the distal convoluted tubule transporters and collecting ducts mechanisms and their coefficient plot of OPLS model. (A): Effect of different Astragalus extracts on the expression of different renal transporters of the distal convoluted tubule and collecting ducts mechanisms, (B): Coefficient plot of OPLS model for diuretic mechanisms; (1) NCC (2) ENaC (3) aldosterone. ANOVA test was used to compare between the different groups with Post Hoc Test (Tukey) to compare different groups. *: Statistically significant at p ≤ 0.05, **: Statistically significant at p ≤ 0.001, N: Statistically non-significant (p > 0.05), n = 8; all results are presented as mean ± SD. (Cirr.: induced cirrhosis by i.p. administration of CCl4 (diluted 1:6 with mineral oil) as follows: The first 10 doses were received every 5 days, the subsequent 10 doses were administered every 4 days, and the last 7 doses were given every 3 days, As: Astragalus spinosus, At: Astragalus trigonus, ar: aerial organs, rt: root organs, D1: low dose, D2: medium dose, D3: high dose, NCC: sodium-chloride symporter and ENaC: epithelial sodium channel.