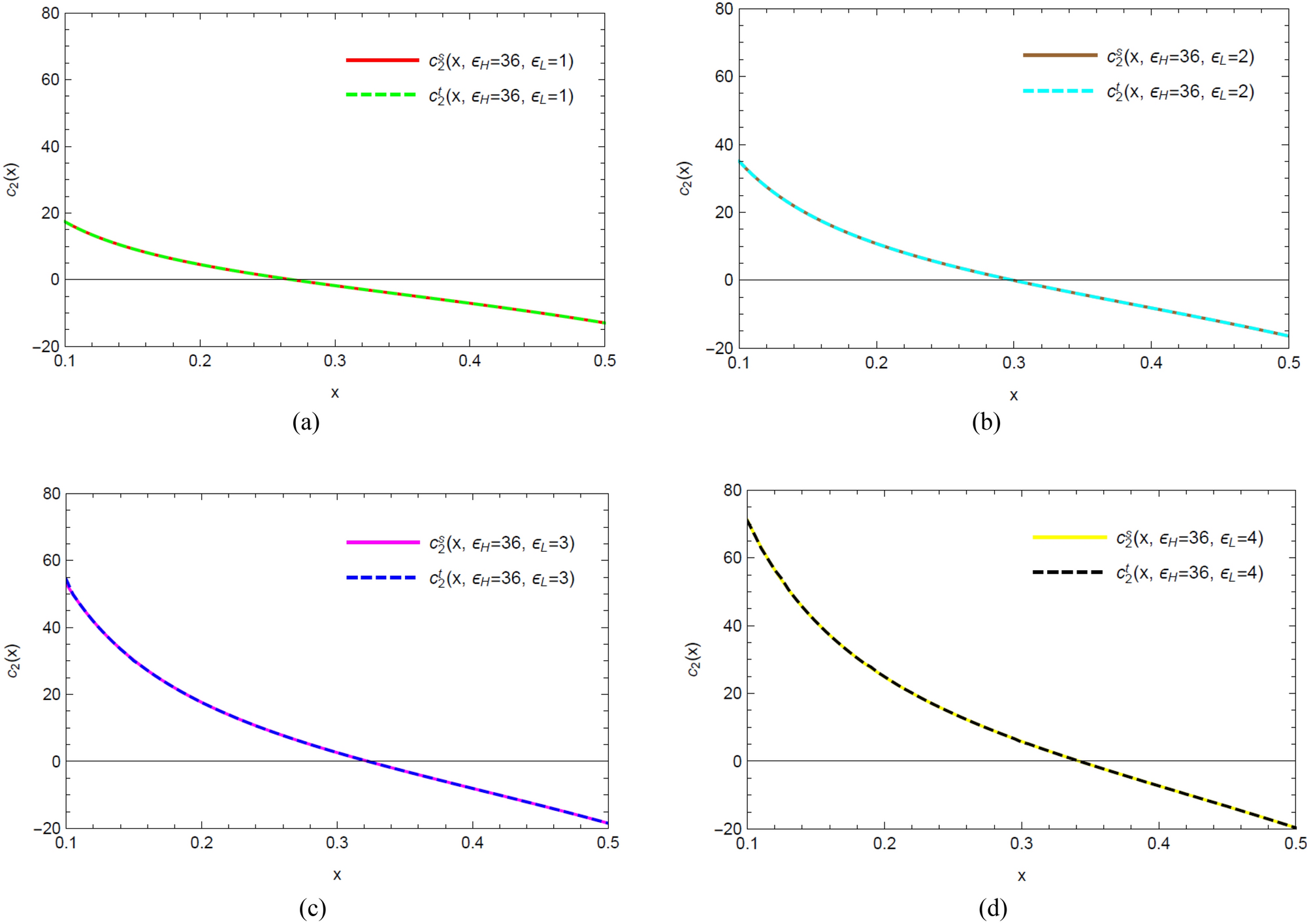
Figure 4

Plots of accessory parameters \(c_{2} \left( x \right)\) of the large \(c\) vacuum Virasoro blocks from the standard monodromy method and the level-three monodromy method, as conformal dimensions \(\varepsilon_{H} = 36\) and \(\varepsilon_{L}\) varies from 1 to 4. Pay attention that the values of \(\varepsilon_{L}\), which are beyond the perturbative values \(\varepsilon_{L} \ll 1\), scale like \(O\left( 1 \right)\). \(c_{2}^{s} (x)\) denotes the accessory parameter obtained from the standard method while \(c_{2}^{t} (x)\) denotes the one obtained from the level-three method. The overlap of the trajectories of \(c_{2}^{s} (x)\) and \(c_{2}^{t} (x)\) shows that these two methods are numerically in agreement with each other.