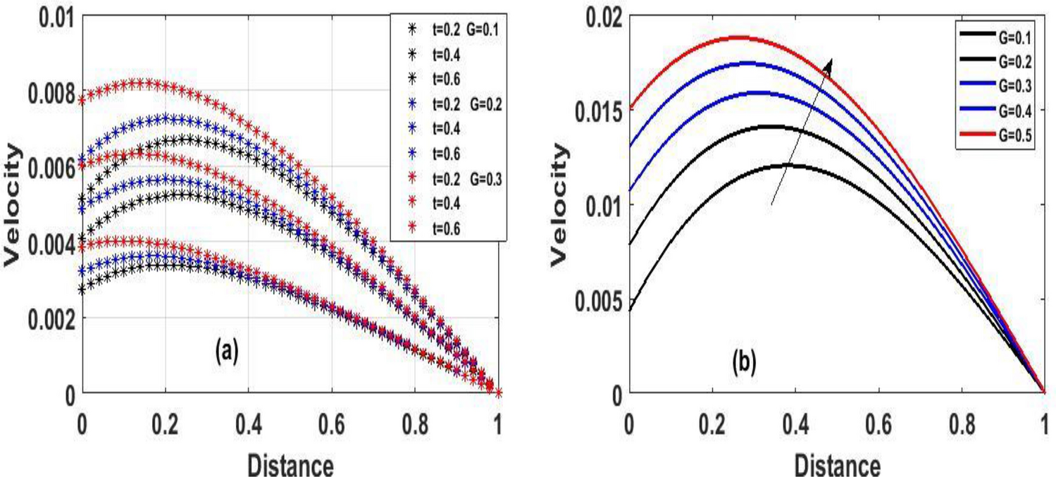
Figure 8 | Scientific Reports