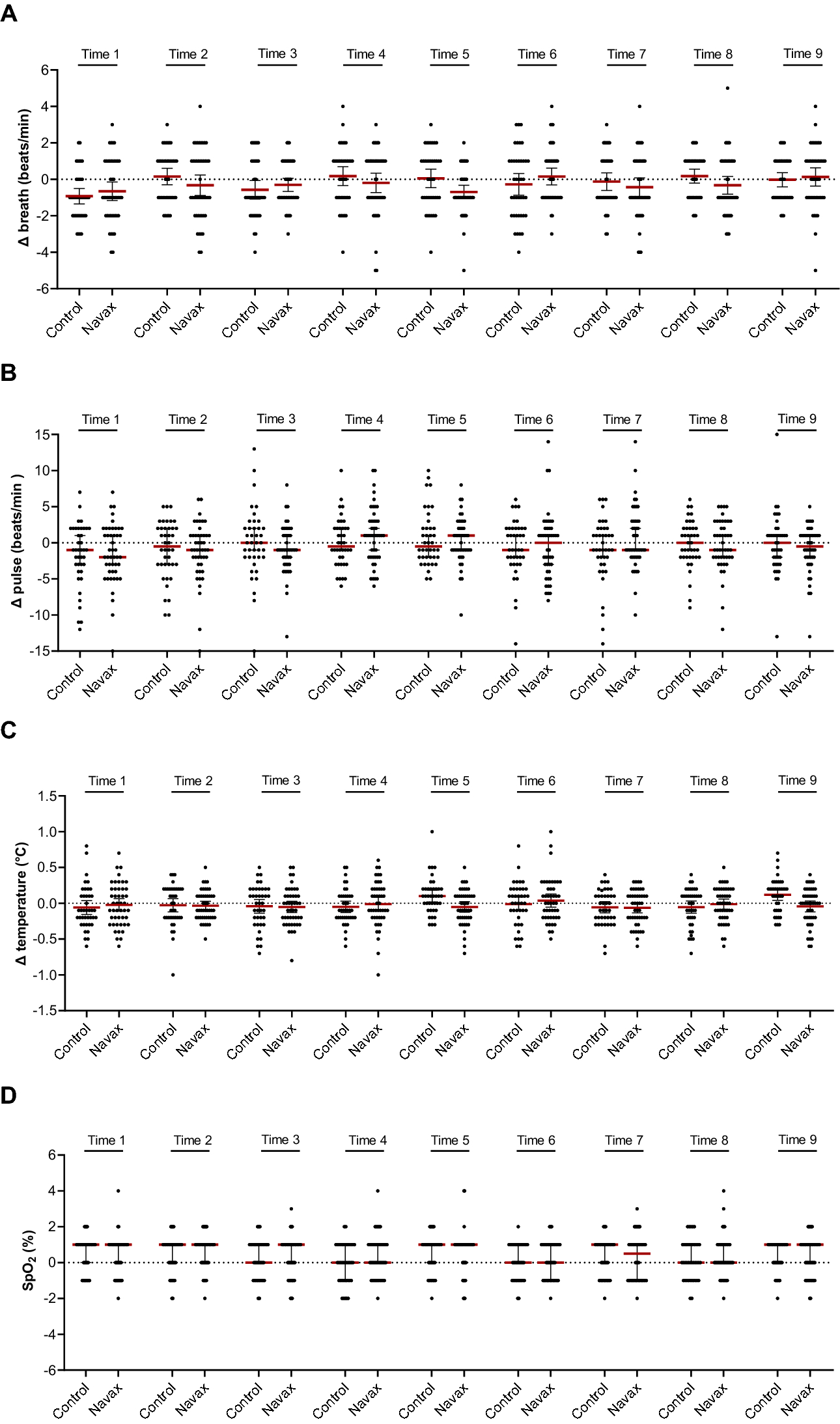
Figure 2

Average values of recorded changes in breath (A), pulse (B), temperature (C) and pulse oxygen (D) between before and after nasal-spraying with LiveSpo Navax (in diagonal-strip pattern) and 0.9% NaCl physiological saline (in white pattern), across 9 spraying times over 3 days.