Figure 2
From: The psychophysiological mechanisms of real-world time experience

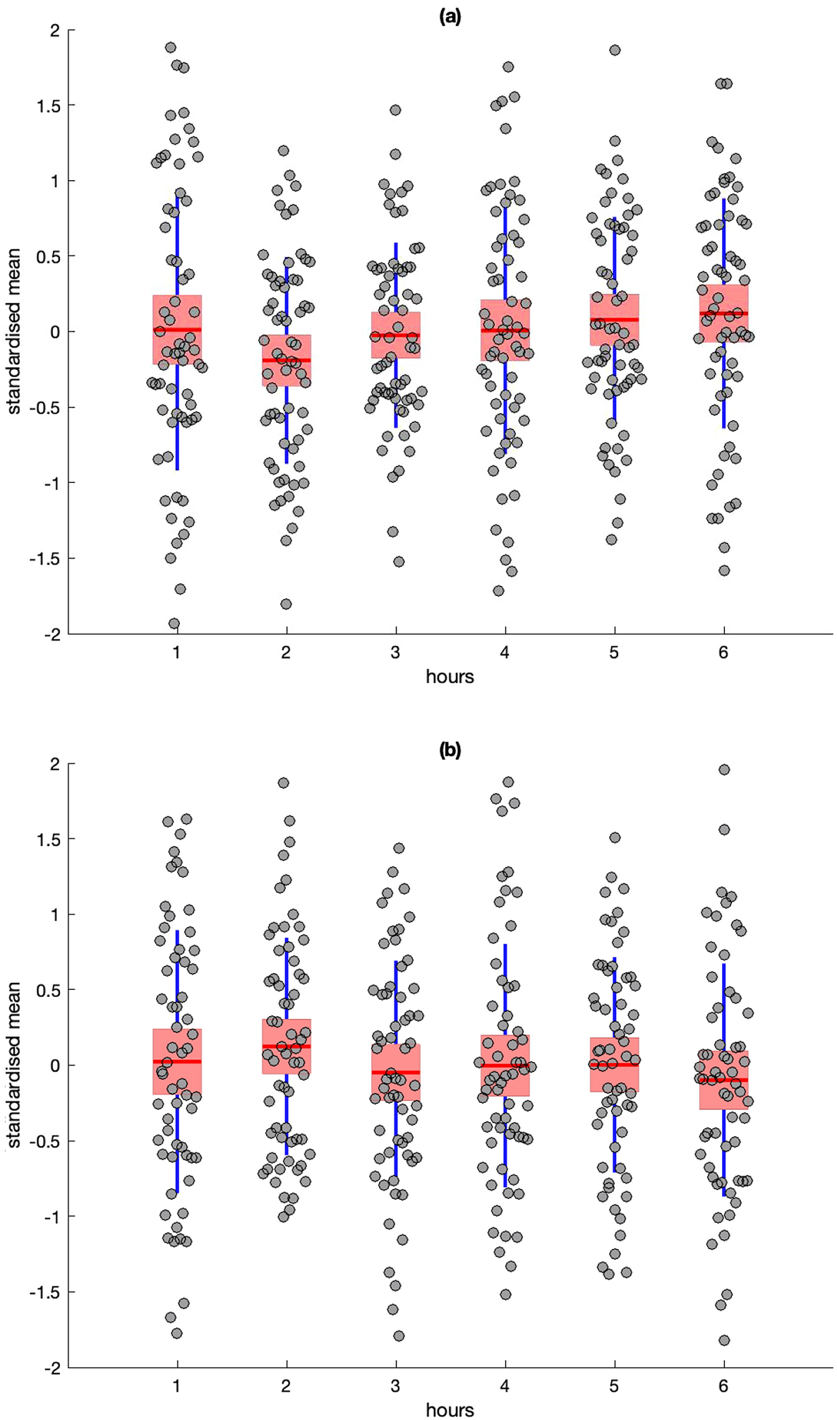
Descriptive statistics for standardised residuals for Heart Rate (HR) (a) and RMSSD (b). Red line = mean, pink box = standard deviation, blue lines = 95% confidence intervals, grey circles = raw data.