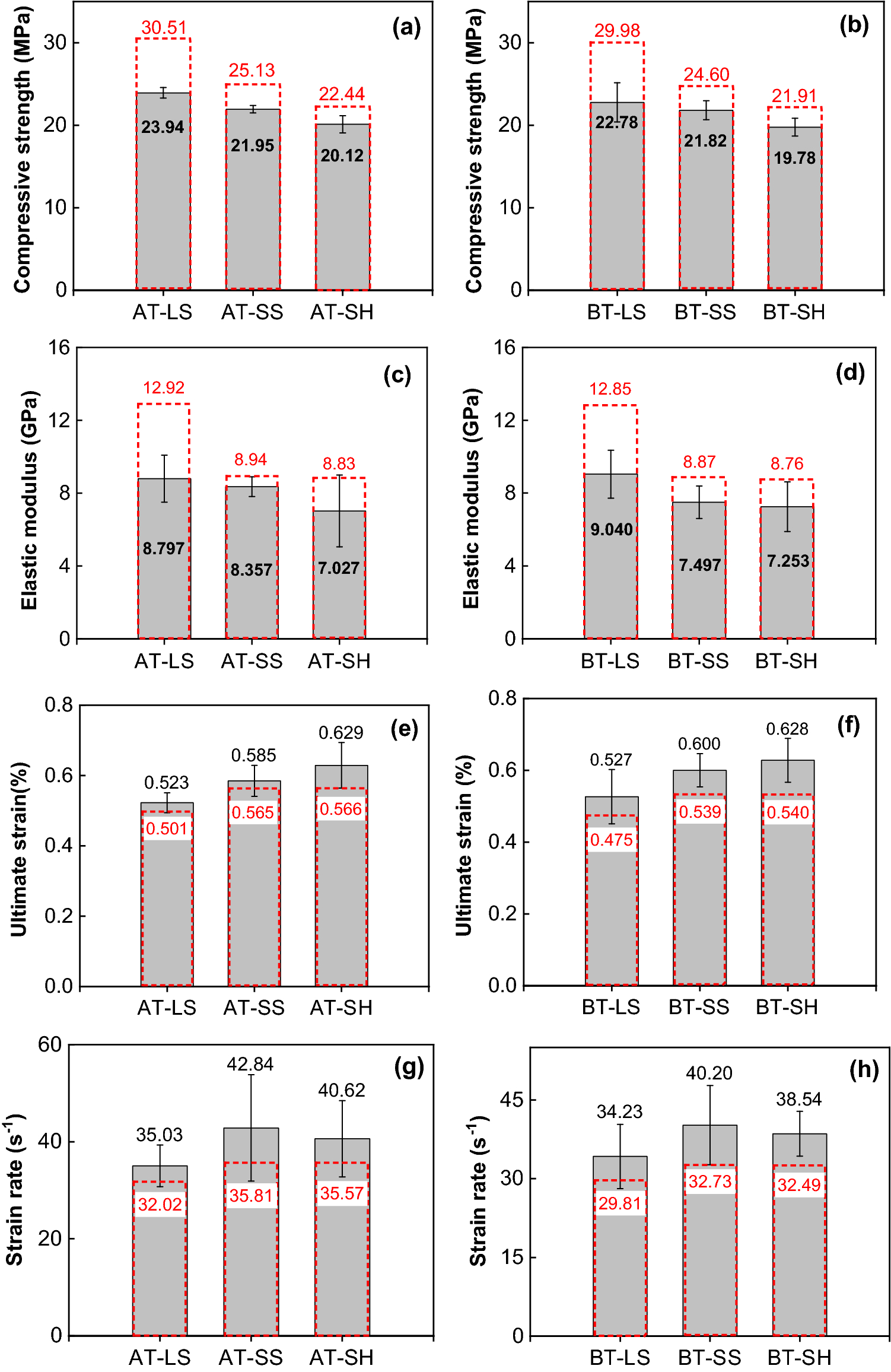
Figure 10
From: Dynamic response and failure characteristics of combined rocks under confining pressure

Dynamic mechanical parameters of different types of combined samples. Red dash rectangle represents the average value of single rock and coal, Gray dash rectangle represents the corresponding value of combined samples. AT-LS combined anthracite-limestone, AT-SS combined anthracite-sandstone, AT-SH combined anthracite-shale; BT-LS combined bituminous coal-limestone, BT-SS combined bituminous coal-sandstone, BT-SH combined bituminous coal-shale.