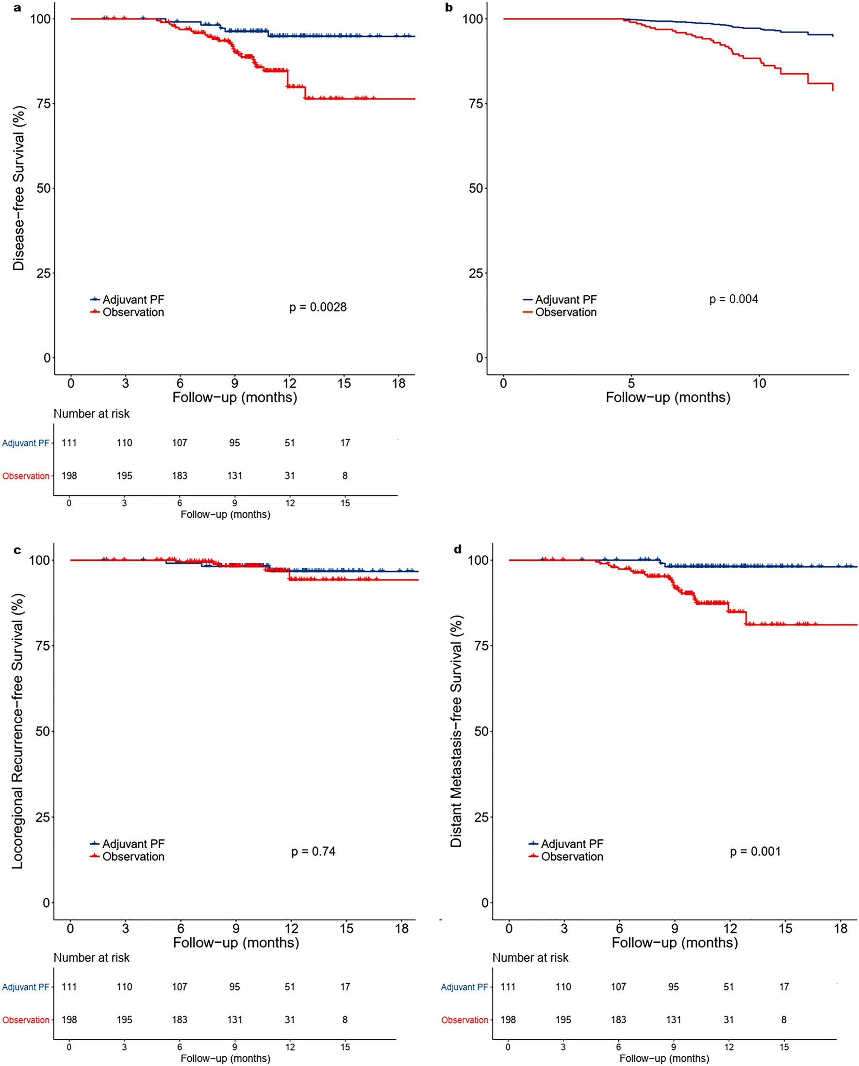
Figure 2

Kaplan–Meier survival curves (a) and multivariate adjusted survival curves (b) for disease-free survival show a higher percentage of patients being disease-free in the adjuvant PF chemotherapy group; meanwhile, Kaplan–Meier survival curves show (c) similar locoregional control and (d) higher rates of freedom from distant metastasis in the adjuvant PF chemotherapy group. Figure created with R version 3.6.0 (https://www.r-project.org/).