Figure 6
From: Predicting mortality among ischemic stroke patients using pathways-derived polygenic risk scores

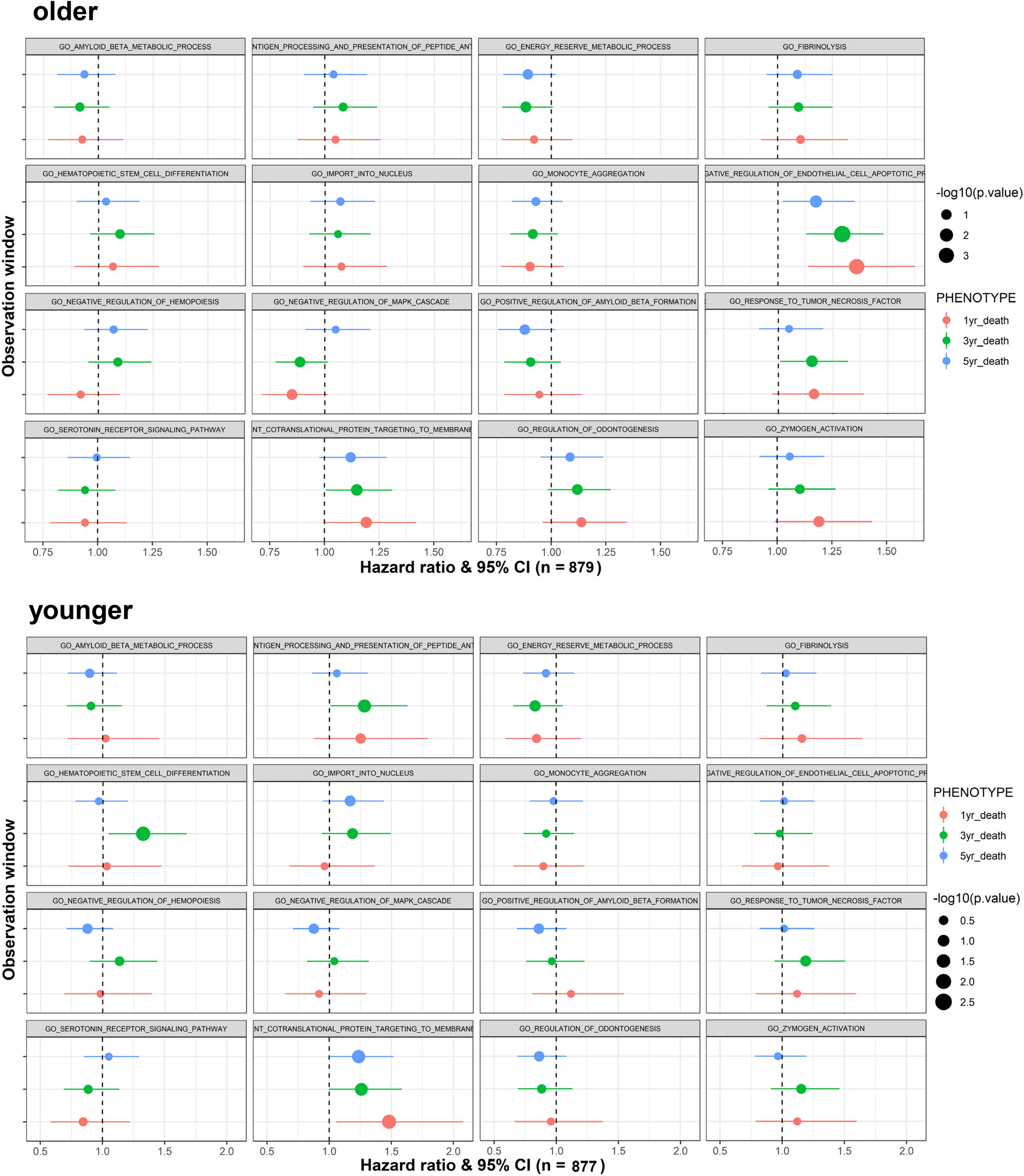
Hazard ratio of each pathway-specific PRS for 1-year, 3-year, and 5-year calendar period of follow-up in all samples as well as subgroups stratified by age at index stroke. The HRs were calculated by the univariate Cox proportional-hazards regression model. The X-bar represents 95%CI of the effect size. Top 16 PRSs were selected from 31 PRS candidates with p-value < 0.1 in association with 3-year mortality from the initial univariate Cox regression model in the training dataset. (A) older stroke subgroup; (B) younger stroke subgroup.