Figure 2

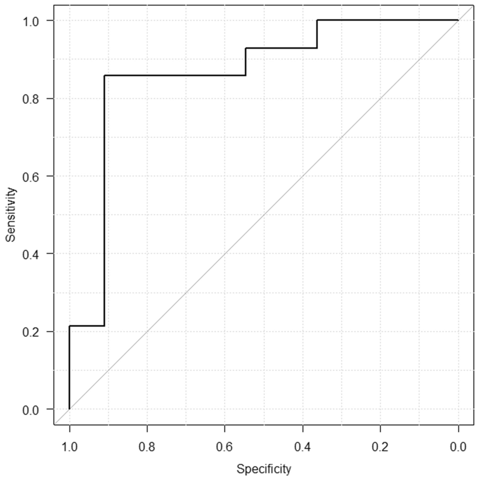
The Receiver Operating Characteristic (ROC) curve of the developed model: the area under curve (AUC) value was 0.864. The sensitivity and specificity of the best classification point (= 1.02 Gy) were 0.857 and 0.909, respectively.

The Receiver Operating Characteristic (ROC) curve of the developed model: the area under curve (AUC) value was 0.864. The sensitivity and specificity of the best classification point (= 1.02 Gy) were 0.857 and 0.909, respectively.