Figure 1
From: Social isolation during the COVID-19 pandemic in Spain: a population study

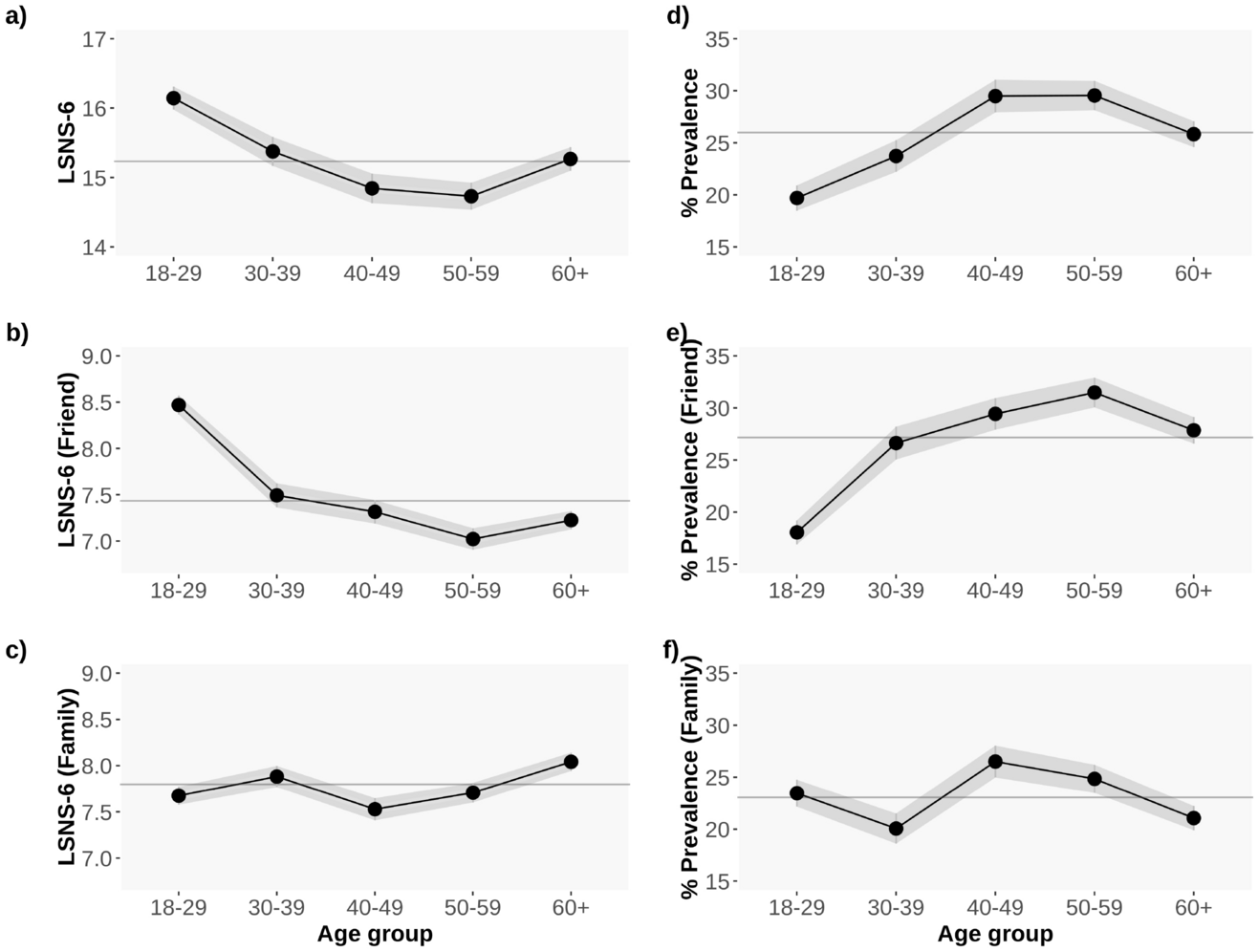
Average LSNS-6 (a), LSNS-6 Friends (b) and LSNS-6 Family (c) scores per age group. The larger the LSNS-6 score, the lower the levels of social isolation; Proportion of non isolated individuals per age group, defining isolation as a LSNS-6 score \(< 12\) (d), a LSNS-6 Friend score \(< 6\) (e), and a LSNS-6-Family score \(< 6\) (f). The greyed area shows the 95% CI. The grey continuous line corresponds to the overall average LSNS-6 score for all the age groups: \(\mu _{LSNS-6} = 15.23\), \(SD = 0.043\); \(prev_{iso} = 25.98\%\), \(SD = 0.003\); \(\mu _{LSNS-6\,fri}=7.43\), \(SD = 0.026\); \(\mu _{LSNS-6 \,fam}=7.80\), \(SD = 0.025\); \(prev_{iso\,fri}=27.16\%\); \(prev_{iso\,fam}=23.04\%\).