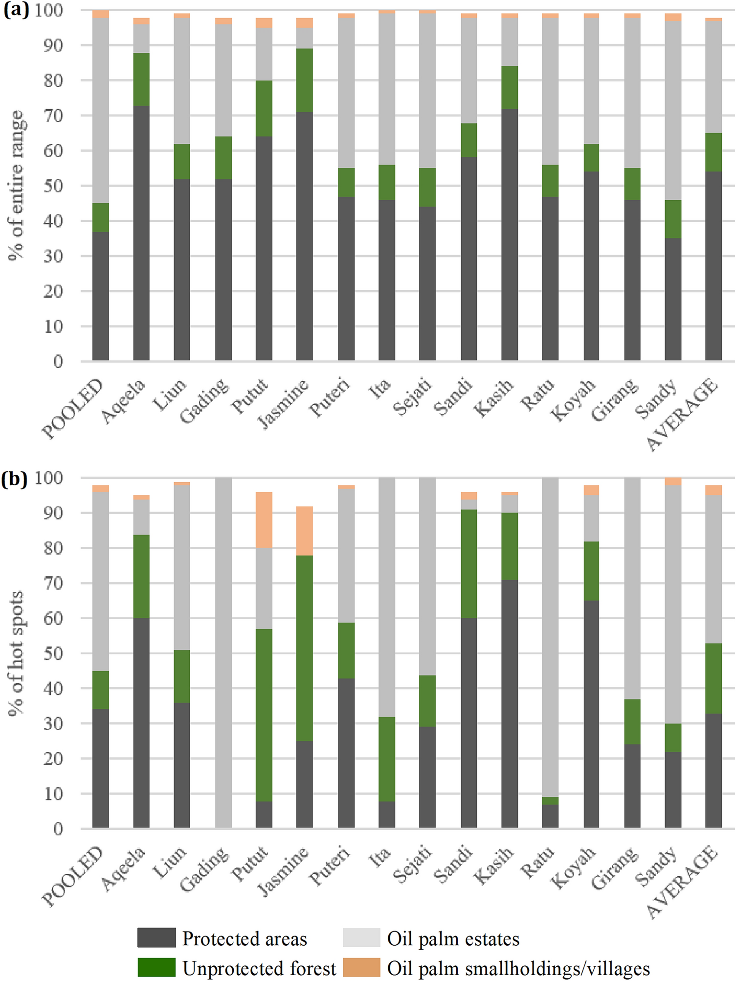
Figure 3

Proportions (%) of protected areas, areas of unprotected forest, areas of oil palm estates, and areas of village lands and oil palm smallholdings, within elephants (a) entire range, and (b) hot spots, along with pooled and average values.

Proportions (%) of protected areas, areas of unprotected forest, areas of oil palm estates, and areas of village lands and oil palm smallholdings, within elephants (a) entire range, and (b) hot spots, along with pooled and average values.