Figure 4
From: Estimation of biological heart age using cardiovascular magnetic resonance radiomics

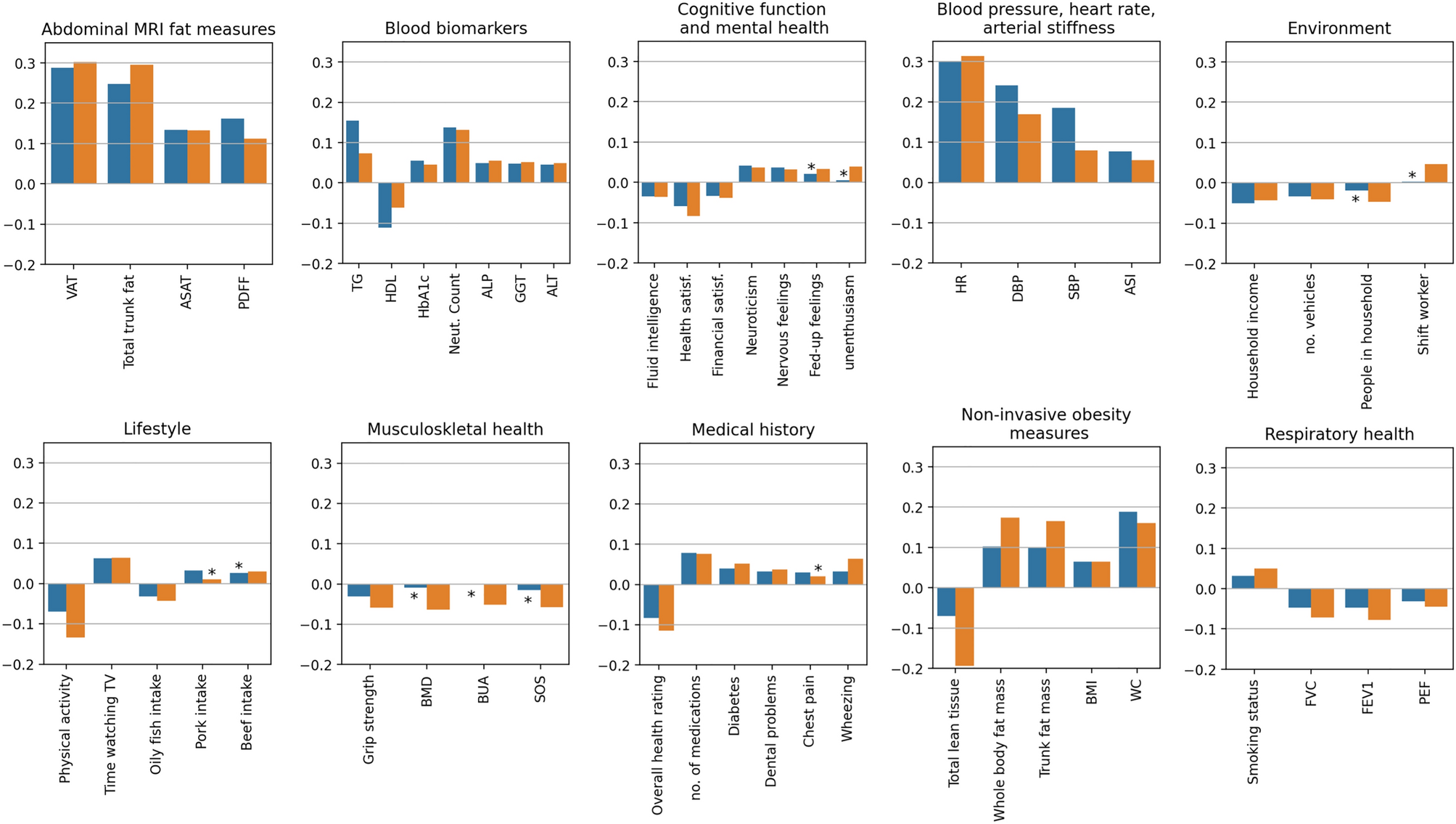
Selected results from the PheWAS. Results are Pearson correlation coefficients of exposures with heart age delta in men (orange) and women (blue). Positive correlations indicate exposures linked to greater heart age delta (accelerated heart aging) and negative correlations indicate exposures linked to smaller heart age delta (decelerated heart aging). Asterix indicates results that are not statistically significant (p-value * number of tests > 0.05). ALP: alkaline phosphatase; ALT: alanine aminotransferase; ASAT: abdominal subcutaneous adipose tissue volume; ASI: arterial stiffness index; BMD: bone mineral density; BMI: body mass index; BUA: bone ultrasound attenuation; DBP: diastolic blood pressure; FEV1: forced expiratory volume in 1 s; FVC: forced vital capacity; GGT: gamma glutamyl transferase; HbA1c: serum glycosylated haemoglobin; HDL: high density lipoprotein; HR: heart rate; LDL: low density lipoprotein; Neut: neutrophil; PDFF: Proton density fat fraction; PEF: peak expiratory flow; SBP: systolic blood pressure; TG: triglyceride level; TV: television; VAT: visceral adipose tissue volume; WC: waist circumference. Please note, for “health satisf.” “financial satisf.”, and “overall health rating” variables, the UK Biobank standard coding tables allocate higher score to poorer ratings, here we reverse the coding for more intuitive interpretation.