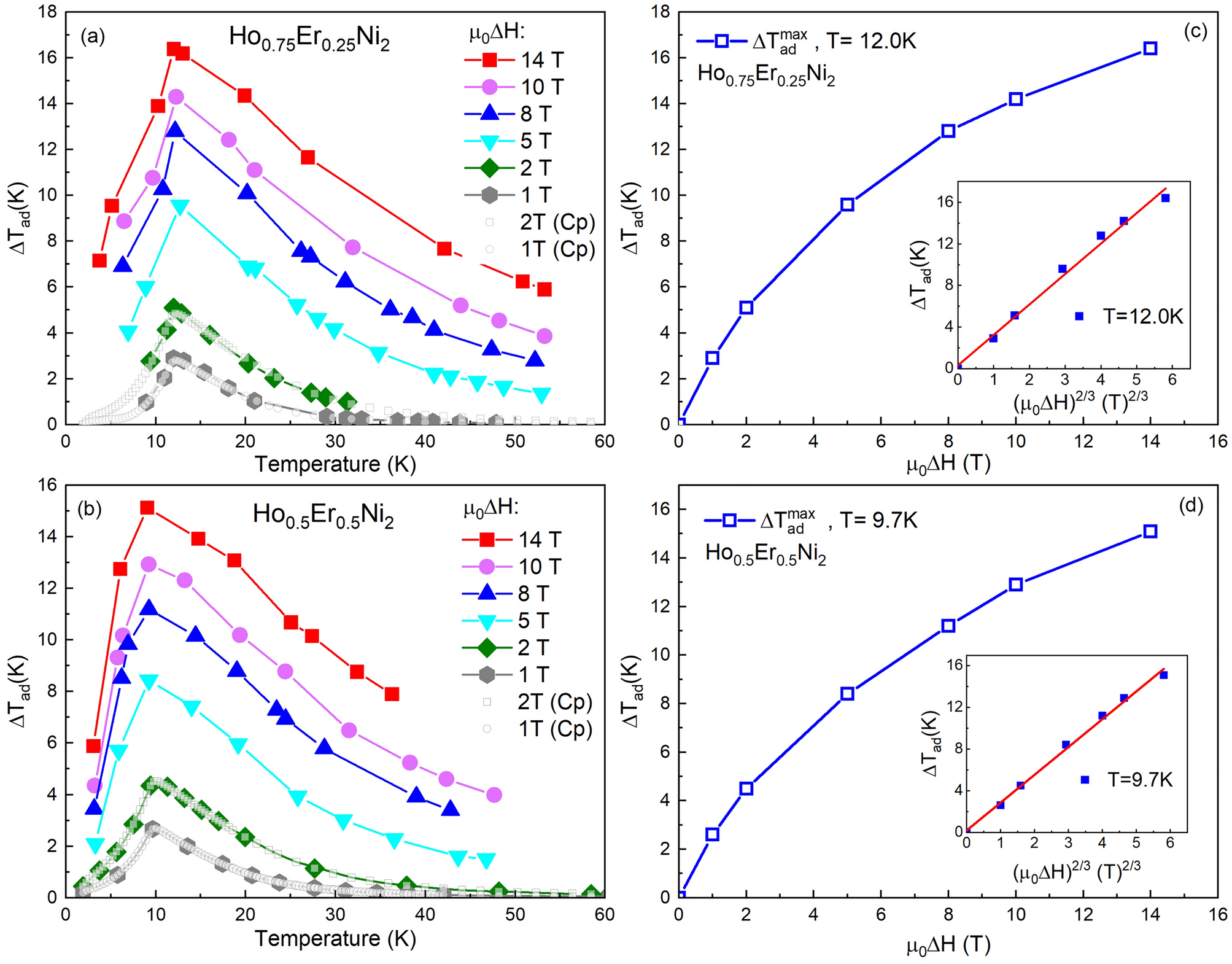
Figure 6

Temperature dependences of the adiabatic temperature change, ΔTad, as obtained from the heat capacity data (filled symbols) and from direct measurements (open symbols) for Ho0.75Er0.25Ni2 (a) and Ho0.5Er0.5Ni2 (b) at different magnetic field changes µ0ΔH and maximum adiabatic temperature change, ΔTadmax, for Ho0.75Er0.25Ni2 (c), Ho0.5Er0.5Ni2 (d) as a function of the magnetic field change, µ0ΔH. Insets show the ΔTad as a function of (µ0ΔH)2/3. Solid lines present the relation ΔTad = A(µ0ΔH)2/3, with A listed in Table 3.