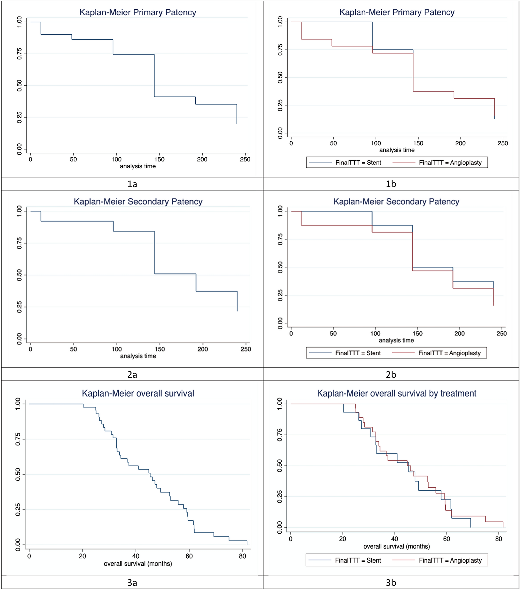
Figure 2

Kaplan–Meier analysis of primary patency (1a, b), secondary patency (2a, b), and survival time (3a, 3b) in the total study population (1a, 2a, 3a) and subgroup analysis according to type of intervention (1b, 2b, 3b).

Kaplan–Meier analysis of primary patency (1a, b), secondary patency (2a, b), and survival time (3a, 3b) in the total study population (1a, 2a, 3a) and subgroup analysis according to type of intervention (1b, 2b, 3b).