Figure 1
From: PIC micro-controller based synchronization of two fractional order jerk systems

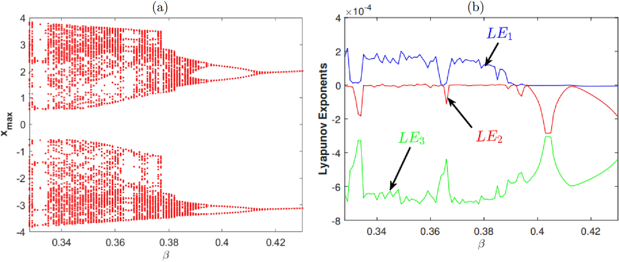
Bifurcation diagram and Lyapunov exponents for \(\beta \in [0.328,0.43]\), \(\alpha =\frac{1}{10}\), under initial conditions: \((x_0,y_0,z_0)=(0,1,0)\).
From: PIC micro-controller based synchronization of two fractional order jerk systems

Bifurcation diagram and Lyapunov exponents for \(\beta \in [0.328,0.43]\), \(\alpha =\frac{1}{10}\), under initial conditions: \((x_0,y_0,z_0)=(0,1,0)\).