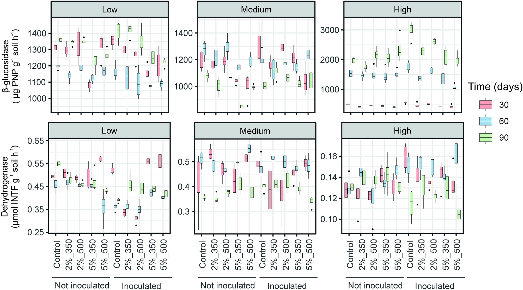
Figure 1

Box plots showing levels of β-glucosidase and dehydrogenase activities in soils contaminated at low, medium and high levels and amended at the doses of 2 and 5% with DOR-based biochar produced at 350 and 500 °C after 30, 60 and 90 days of experiment. Controls refers to unamended soils. Soils were inoculated with the AMF F. mosseae. The boxes represent the interquartile range (IQR) between the first and third quartiles (25th and 75th percentiles, respectively) and the vertical line inside the box defines the median. Whiskers represent the lowest and highest values within 1.5 times the IQR from the first and third quartiles, respectively. Dots represent outliers.