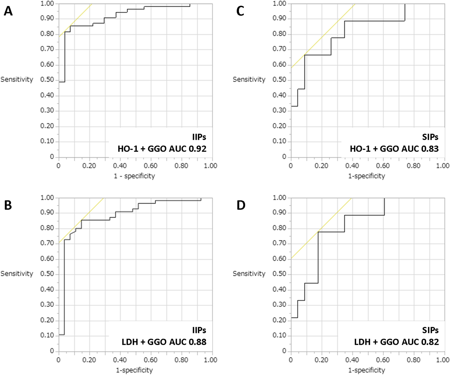
Figure 1

Diagnostic ulitity of the serum HO-1 or LDH levels and the GGO score for AEs. In patients with IIPs and SIPs, AE detectability was evaluated by a composite parameter combining serum HO-1 (IIPs: A SIPs: C), LDH level (IIPs: B SIPs: D), and GGO score. The combination of serum HO-1 values and GGO scores in both groups showed higher AUCs than the combined AUCs of serum LDH values and GGO scores.