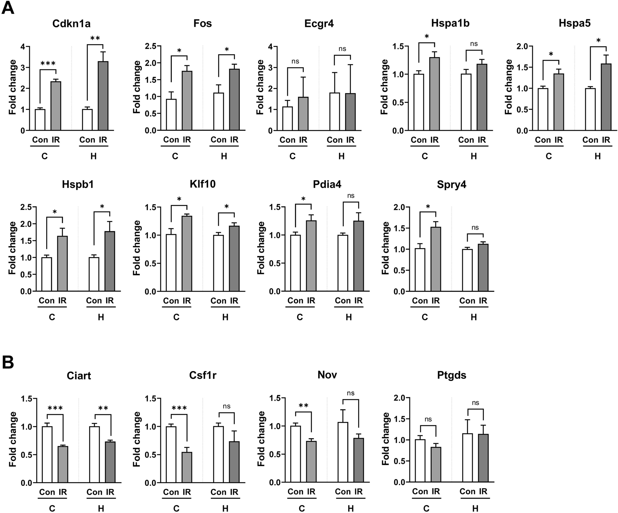
Figure 4

Changes in 13 selected differentially expressed genes (DEGs) in the cortex and hippocampus of mouse brains after cranial irradiation. The bar graphs show the relative expression levels of upregulated (A) and downregulated (B) genes from RNA-seq data collected from both the cortex and hippocampus. Data are expressed as the mean ± SE (n = 5 per group). *p < 0.05, **p < 0.01, and ***p < 0.001 vs. the Con group.