Table 2 DIs derivatization product obtained with benzylamine and dibutylamine.
Entry | Sample name | Chemical structure |
|---|---|---|
1 | MDI/BA-1 | 1,1′-[methylenebis(4,1-phenylene)]bis(3-benzylurea) |
2 | TDI/BA-2 | a. 1,1′-(2-methyl-1,3-phenylene)bis(3-benzylurea) b. 1,1′-(2-methyl-1,5-phenylene)bis(3-benzylurea) |
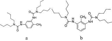
3 | MDI/DBA-3 | N'N''-[methylenebis(4,1-phenylene)]bis(N,N-dibutylurea) |
4 | TDI/DBA-4 | a. N'N''-(2-methyl-1,3- phenylene)bis(N,N-dibutylurea) b. N'N''-(2-methyl-1,5-phenylene)bis(N,N-dibutylurea) |



