Figure 4
From: Optimal duration of cardiotocography assessment using the iPREFACE score to predict fetal acidemia

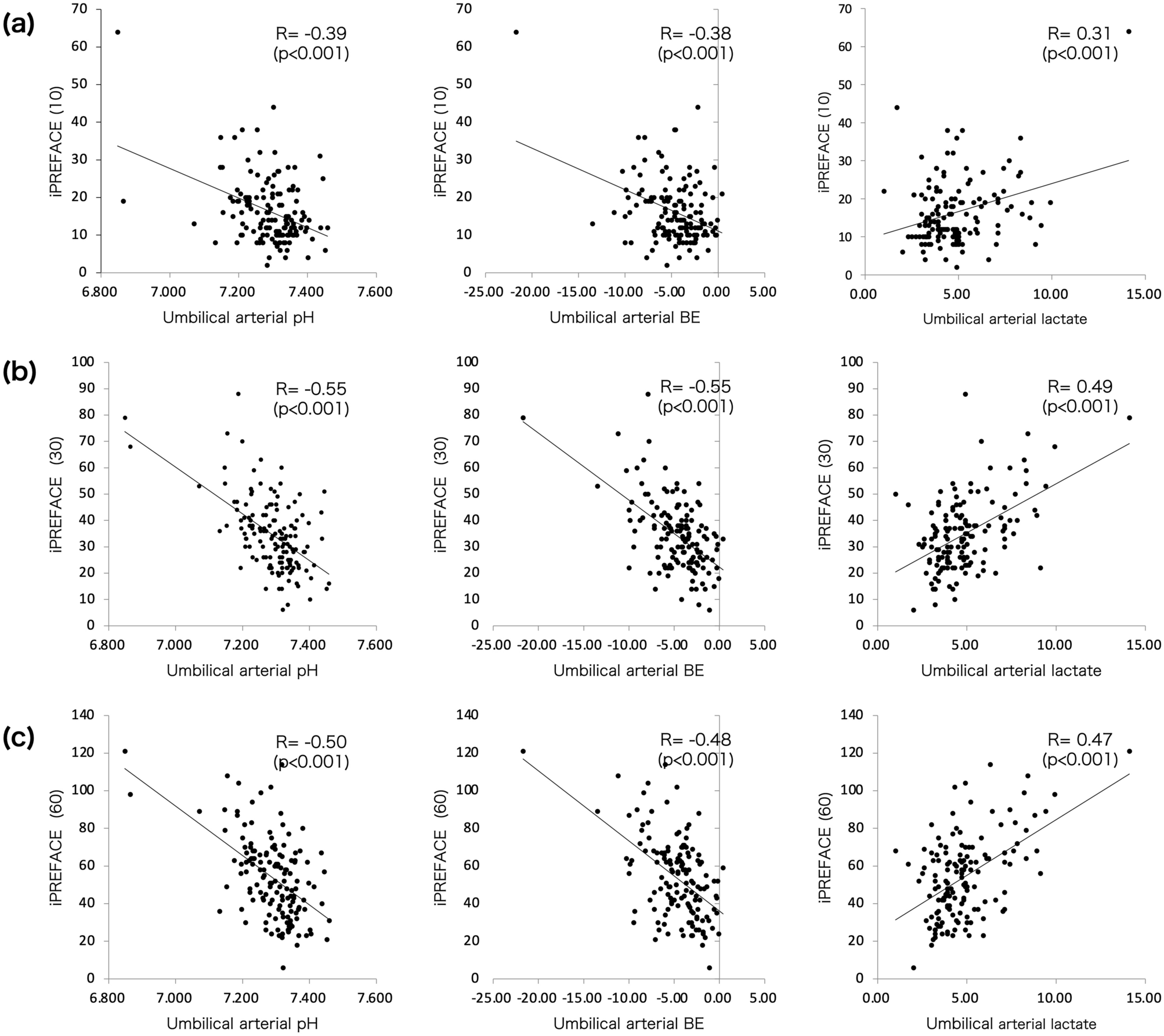
Linear regression analyses between iPREFACE scores and umbilical artery blood pH, BE, and lactate levels. (a) iPREFACE(10), (b) iPREFACE(30), (c) iPREFACE(60). BE, base excess.