Figure 3
From: A conditional random field based feature learning framework for battery capacity prediction

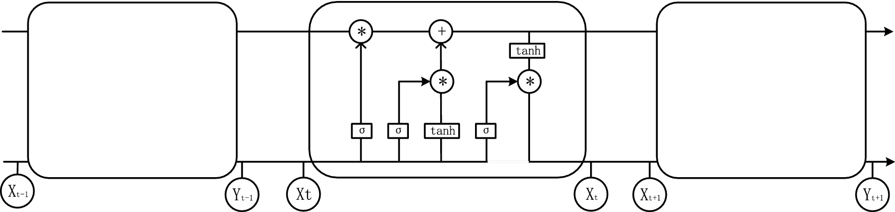
Structure of LSTM network model.
From: A conditional random field based feature learning framework for battery capacity prediction

Structure of LSTM network model.