Figure 4
From: Vacuum curette lumbar discectomy mechanics for use in spine surgical training simulators

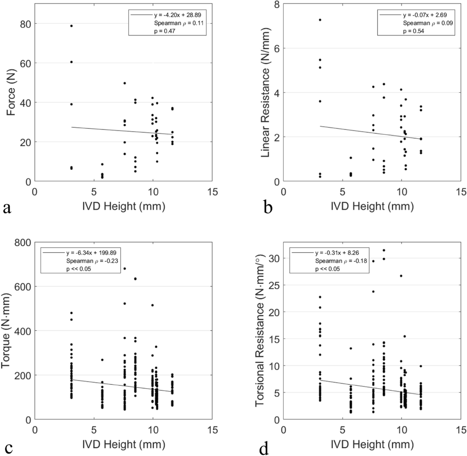
Linear (a,b) and torsional (c,d) peak and resistance values as correlated to intervertebral disc (IVD) height.
From: Vacuum curette lumbar discectomy mechanics for use in spine surgical training simulators

Linear (a,b) and torsional (c,d) peak and resistance values as correlated to intervertebral disc (IVD) height.