Figure 6
From: Design and validation of cyanobacteria-rhizobacteria consortia for tomato seedlings growth promotion

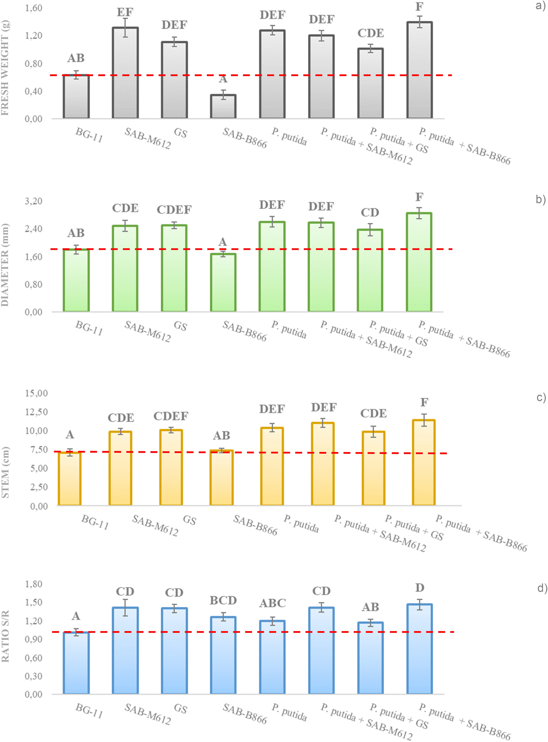
Evaluation of different growth parameters in tomato seedlings, after treatment with experimental blocks containing P. putida. Representing (a) fresh weight (g), (b) stem diameter (mm), (c) stem length (cm), and (d) stem:root ratio are represented. Vertical bars represent standard error values.