Figure 3
From: Improved circuit implementation of the HHL algorithm and its simulations on QISKIT

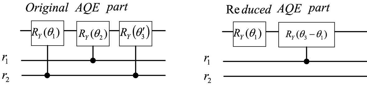
The quantum circuits before and after the improvement of the AQE stage in the hybrid HHL algorithm.
From: Improved circuit implementation of the HHL algorithm and its simulations on QISKIT

The quantum circuits before and after the improvement of the AQE stage in the hybrid HHL algorithm.