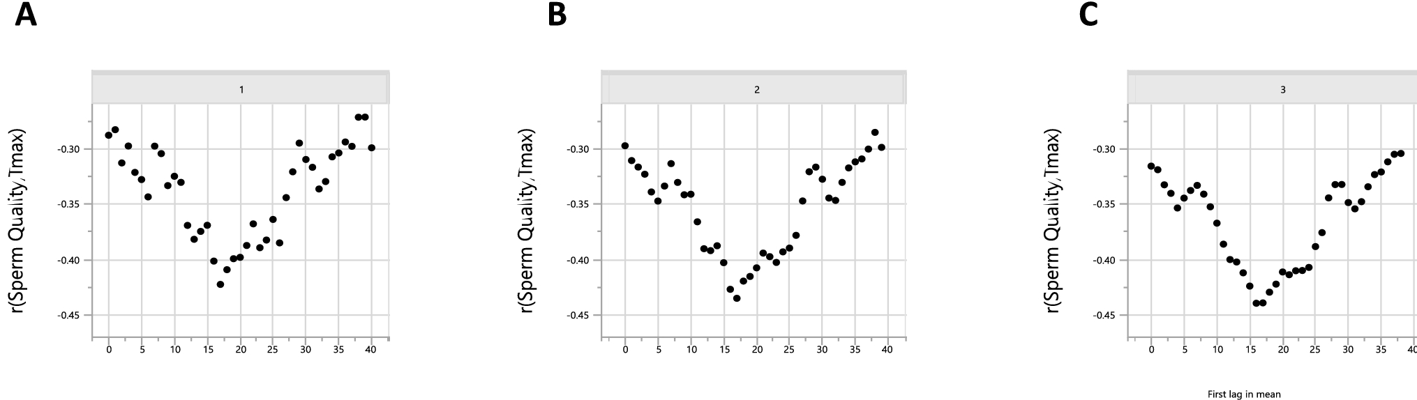
Figure 6

Bull semen quality (as percentage sperm normal forms) is related to the temperature that occurred 17–19 days ago. Correlation between sperm quality and maximum Temperature (Tmax). The Y axis is the Pearson correlation coefficient and X axis represents the number of days before the day the sperm sample was taken. (a) Uses one day of Tmax data whilst (b) averages two and (c) averages three consecutive days of Tmax data. The arrow shows the best correlation between Tmax and poor sperm quality, which occurs around 17–19 days before the semen sample is collected.