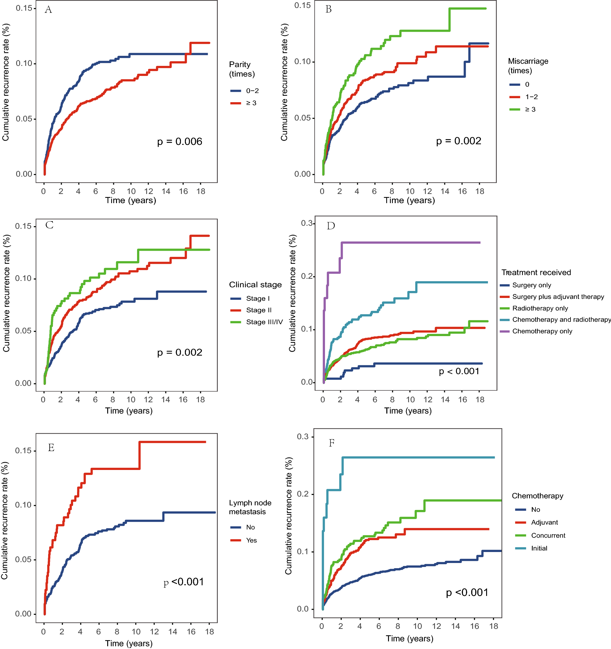
Figure 2

Cumulative recurrence rate by (A) parity; (B) miscarriage; (C) clinical stage; (D) treatment received; (E) lymph node metastasis; (F) chemotherapy.

Cumulative recurrence rate by (A) parity; (B) miscarriage; (C) clinical stage; (D) treatment received; (E) lymph node metastasis; (F) chemotherapy.