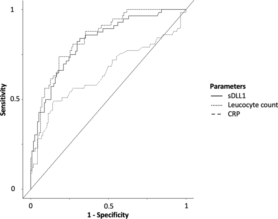
Figure 3

ROC analyses of the plasma levels of sDLL1 and CRP and leukocyte count at all postoperative time points and all septic time points regarding the prediction of sepsis. The corresponding values are given in Table 2. CRP C-reactive protein, ROC receiver operating characteristic, sDLL1 soluble delta-like canonical Notch ligand.