Figure 23

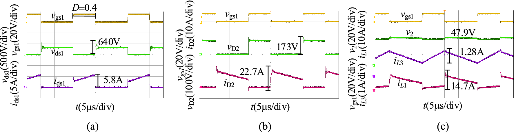
The experiment results of the proposed converter in the step-down mode when v1 = 250 V: (a) vgs1, vds1, ids1, (b) vgs1, vD2, iD2, (c) vgs, v2, iL1, iL3.

The experiment results of the proposed converter in the step-down mode when v1 = 250 V: (a) vgs1, vds1, ids1, (b) vgs1, vD2, iD2, (c) vgs, v2, iL1, iL3.